Table of Contents

Issue 7

Issue 7

October 2021

Switch to PDF View
Issue 7

Letter from the Journal

Dear readers,
Over the past month, we have spent a work heavy time to welcome 37 new junior researchers into our team. We also took the time to restructure the team into a more efficient and effective workflow, welcoming two new senior researchers, Roaa Elfishawy and Radwa El-ashwal. To train those junior researchers, we planned a 3-week filled training to teach the junior researchers the basics of research, brainstorming, and writing the actual paper. Over the past 3 weeks, the Editor-In-Chief and the managing researchers conducted 3 webinars, talking about the research process, writing process and revising and proofreading the paper. All the junior researchers were required to conduct a group project as they were matched with fellow researchers with alike interests and had to complete a group article in the 3 weeks. In this period, each group was mentored by a senior researcher where the senior conducted 6 group sessions helping guide them through the process of writing their first review article. On 17th of September, there was a presentation day, in which each group had to present a 10-minute presentation to explain their project thoroughly to the audience, and to a set of preselected judges. The projects presented were all of high caliber and impressed the judges. By the end of the training, the best project was awarded, and 3 runners-up were given awards. These groups have shown great dedication and enthusiasm for research and showcased that through their research project. Even more, they showed spectacular presentation skills, exhibiting their projects and showing off their work in 10 minutes. Therefore, in this issue, we represent all the group projects created throughout the training, because we are proud of the endless effort that were done to write each and every article. We thank all the senior researchers for their tiring work as mentors, and all those who have helped make this issue possible. Best Regards,
Youth Science Journal Community

The artificial pancreas: the development of closed-loop algorithms in the present

Abstract About 422 million people worldwide have diabetes. It has no cure so far. But when it comes to biomedical engineering, we can see a glimmer of hope. Now, you are not committed to taking continuous insulin doses because your artificial pancreas will do that for you. The artificial pancreas facilitates the patient's disease journey both psychologically and physically. It is equipped with a blood glucose monitor and an insulin pump, making it like a natural pancreas in its functionality. But behind every invention that is beneficial to humanity are complications and sometimes algorithms.

I. Introduction

According to WHO, diabetes affects around 422 million people globally. Diabetes is directly responsible for 1.6 million deaths per year. Over the last few decades, both the number of cases and the prevalence of diabetes have significantly increased. It causes severe problems such as blindness, kidney failure, heart attacks, stroke, and lower limbamputation [1]. Unfortunately, diabetes is an incurable disease, so the Person with Diabetes(PWD) must regulate the glucose in the blood, forgetting to enjoy his/her life without any suffering. The biomedical engineers were racing the future for an artificial pancreas instead of a damaged one. In 1977, a revolution erupted in biomedical engineering when Professor Roman Hovorka at the University of Cambridge invented the first artificial pancreas(Closed-Loop System) [2]. The research paper will go in deep about artificial pancreases, especially the closed-loop System, how it works, and recommendations for future research inspired by the results.

II. The Incurable Disease

i. Brief about the Pancreas

The pancreas is a pear-shaped vital part of the digestive system and is known as a mixed gland due to having both exocrine and endocrine functions. The endocrine portion consists of a group of different types of cells (islets of Langerhans). The islets of Langerhans cells are three types, Alpha, Beta, and Delta. Each of these cells secretes a specific hormone. For instance, Alpha cells secrete glucagon that raises blood glucose levels raises blood glucose levels. Besides, Beta cells secrete insulin that regulates sugar metabolism and maintains normal sugar levels in the blood. [3] Unfortunately, low insulin can lead to an accumulation of glucose in the blood, a situation known as hyperglycemia, and to the metabolic disorder diabetes mellitus [4].

ii. Type 1 Diabetes

When you eat carbohydrates, chemicals in your small intestine break them down into single sugar molecules called glucose. The small intestine absorbs glucose. Then, the glucose starts to transfer into the bloodstream. When the bloodstream reaches your pancreas, beta cells detect the rising glucose levels and release insulin into your bloodstream to decrease glucose levels and keep your blood glucose in a normal range. [5] In type 1 diabetes, your white blood cells mistake your beta cells for foreign invaders. In an autoimmune response, the white blood cells release antibodies to destroy beta cells. Thus, the insulin in the blood decreases or disappears, which leads to many problems and complications. [6] Glucose cannot enter your cells without insulin. As a result, they develop a strong need for the calories that glucose should provide. In addition, the glucose builds up in the bloodstream with a condition known as hyperglycemia. [7]

III. The Glimmer of hope

i. Artificial Pancreas

So, if you are a type 1 diabetes case, your objective is to maintain a healthy blood glucose level by inserting the dosages of insulin required to lessen the blood glucose level. Thus, the artificial pancreas plays a role in this series of functions by making it continuously [8]. The artificial pancreas (AP) is an insulin pump connected to a continuous glucose monitor system (GCMS) that is controlled by a receiver (For example, handheld device) using sophisticated software algorithms to make the whole thing work. The purpose is to automate as much as possible blood glucose (BG) regulation, so the wearer doesn't have to take fingerstick blood sugar measurements and then calculate how much insulin to inject or decrease depending on those results. Some systems can even turn off insulin administration automatically if the CGMS detects low blood sugar levels. Some methods are also experimenting with carrying glucagon with insulin in the pump to raise blood sugar as needed. [9]

ii. Types of Artificial Pancreas

So, using an artificial pancreas (AP) is essential for people who experience diabetes, especially Type 1 Diabetes. However, many insulin delivery systems exist, each with its mechanisms, algorithms, and certain returns. When discussing kinds of artificial pancreases, there are mainly three types according to the official UK site for diabetes.

  1. Bionic Pancreas:
  2. It works like the CLS by pumps to deliver insulin and glucagon (which raises glucose in the blood). The pumps relate to an app to provide coordination between the pancreas devices.
  3. Implanted artificial pancreas:
  4. It is an insulin delivery device that features a gel that can detect changes in glucose levels by enabling a high insulin release rate when the glucose level increases and vice versa.
  5. Closed-Loop System (CLS):
  6. Figure 1
    Figure 1: CLS is considered as one of the most promising devices for patients with Type 1 Diabetes, it consists of an insulin pump (the small cuboid-like apparatus) which may have the control algorithm inserted in it, a CGMS (the pieces at the bottom-right), and a communication device to enable doctors and experts to watch the device and patient state [11].
    It consists of three components an insulin pump to store and deliver insulin, a Continuous Glucose Monitoring System (GCMS), and an algorithm-based control system. (As shown in figure 1) [10] We will focus on the CLS because of its high potential benefits. It is the widely recognized version of the AP. Furthermore, many research papers and experiments done on it. Thus, the data available is accurate and detailed.

IV. Closed-Loop Systems: A Close Look

i. Historical Appearance

The closed-Loop glucose system idea is not new. The concept was introduced in the 1960s [11]. However, many limitations existed then, including algorithm simplicity, the inadequate size of the CLS 6components, the CGMS accuracy, and the need for intravenous access. These limitations led to a search for alternative systems for a long time. Later in 1978, a study was performed to test the feasibility of using insulin pumps to deliver subcutaneously (under the skin) rapid-acting insulin [12]. An extensive advantage of using subcutaneous (SC) delivery systems is the decreased invasive nature. The problem with that strategy is that subcutaneous (SC) delivery systems can have considerable delays because they are inserted into the interstitial fluid of the cells under the skin while insulin is automatically released in the bloodstream. So, the SC systems insulin needs time to move to the bloodstream before giving an effect. In addition, glucose often diffuses into a subcutaneous fluid, which contributes to the time lag. [14] Consequently, manual intervention was needed. Although development was slow, the last 20 years' improvement efforts resulted in a substantial increase in the efficiency and utility of the pump technology used, improvements in the components' technology, the CGMS reliability, and algorithm refinements. In 2009, the simplest form of the CLS became commercially available. It could suspend glucose up to 2 hours when hypoglycemia is detected. Fortunately, post-marketing studies showed a remarkable decrease in the duration and frequency of nocturnal hypoglycemia [15]. Many studies are conducted, hoping that the CLS can help patients infected with diabetes.

ii. The Algorithms in CLS: Natural introduction

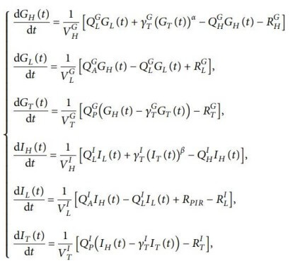
Figure 2
Figure 2: Here is a mathematical model for some fluids in a healthy human body: insulin, glucagon, and glucose. There are 6 ODEs of 4 compartments [16].
The advancement of the algorithms and the complexity to improve the CLS performance in realistic situations was a central part of the CLS and AP technology. Moreover, designing the algorithms of AP, scientists' main goal was creating an artificial pancreas that mimics the performance of a natural one. How does a natural pancreas work? This question was critical for improving algorithms in an artificial pancreas. Scientists have studied the human pancreas for many years and quantitatively simulated its function using various methodologies and complexity levels. The mathematical model created by Banzi, and coauthors is one of the most trustworthy models (shown in Figures 2 and 3). We know that a model like that may look quite confusing or intimidating, but it is not. It represents the concentrations of the two hormones related to the level of glucose in the blood, insulin and glucagon, and the resulted concentration of glucose. The model consists mainly of a system of 6 Ordinary Differential Equations (ODEs) for four Figure 1: CLS is considered as one of the most promising devices for patients with Type 1 Diabetes, it consists of an insulin pump (the small cuboid-like apparatus) which may have the control algorithm inserted in it, a CGMS (the pieces at the bottom-right), and a communication device to enable doctors and experts to watch the device and patient state [11] .7compartments or parts of the body: heart and lungs, liver, other tissues, and pancreas.
Figure 3
Figure 3: Here is a schematic representation of a diabetic person according to Banzi and coauthors’ model [16] .
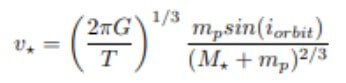
An ODE is an equation in which you want to find a function of (usually) time for an object. Therefore, we want an equation. If we input a value of time, we get the desired object value. In this case, it is the concentrations of the hormones and glucose in the blood. In an ODE, we determine the equation for the function using the relation between it and its instantaneous rate of change (known in mathematics as “derivative” the d/dt). Here is a brief list of the notation used: Variable: V : Volume (dl) G : Glucose concentration (mg/dl) I : Insulin concentration (mU/l) Q : Vascular blood flow rate (dl/min) Subscripts: H: Heart and lungs L: Liver T: Tissues A: Hepatic artery PIR: Peripheral insulin release s: Stored insulin b: Labile (variable) insulin G: Glucose I: Insulin Γ: Glucagon Parameters: R - γ - p - α - δ - σ - β
Equation
In general, the balancing mass equation for glucose, insulin, and glucagon takes the ODE form:
  • V: Compartment volume
  • M: concentration
  • Q: blood flow rate
  • Rp, Rc: Metabolic production and consumption rates

While developing the artificial pancreas, scientists and engineers certainly were inspired by the systems of equations modeling the natural pancreas secretions behavior. However, it is impossible to use these systems because they model the “behavior” of the pancreas that they are not instructions that can be followed. Also, artificial pancreas systems cannot always measure the concentrations of the hormones and glucose accurately and instantly. Subsequently, prediction models and error-correcting algorithms are necessary to supply the human body with stable glucose rates, and that’s where the importance of the control algorithms comes [14].

iii. The Main Algorithms in the CLS

Many algorithms are frequently used in the CLS control devices. In addition, algorithms can be implemented in different ways. They are just principles. There are three main types of algorithms, Model Predictive Control, Proportional–Integral- Derivative, and Fuzzy Logic Control: Here, we will present these main strategies and algorithms involved in technology.

  1. Model Predictive Control (MPC):
  2. Figure 4
    Figure 4: Here is a basic demonstration of the MPC concept, a set point is determined, and the algorithm uses past moves and the prediction horizon information in addition to the CGMS to optimize the insulin infusion rates to keep glucose levels in the desired range [17].
    The MPC depends on a model used to predict the effect of controlled moves (decisions) in discrete-time periods (steps) on future glucose level output. Then, optimization is performed to select the best movements that make the glucose level in the desired range while maintaining a set point (target). The mathematical models used in MPC can have many forms, but the normal formulation includes continuous Ordinary Differential Equations. These equations can be linear (represented as a combination of straight lines or nonlinear) At each step, integration (finding anti-derivatives) or solving the equations based on the current-state values is necessary Linear ODEs can be solved analytically and have closed-form exact solutions, while nonlinear ODEs solutions are approximated, but they often perform better optimizations. (as shown in figure 4).

    The parameters used in the system of ODEs can be fixed or adaptive, while adaptive values may sound promising. They must be applied with care because they may result in unstable systems. Correcting the model according to the measurements differs from predictions. It treats the difference between the measured output and the model prediction at the current step as a constant. The correction happened only after the prediction. However, better approaches that make smart but more complex corrections like the Kalman filter. [18] A study was performed on six adults in 2014 to test the efficiency of the MPC and its ability to reduce postprandial (after lunch and dinner) glucose excursions. During the study, the patients wore a DiAs platform. It is a portable system that communicates wirelessly with the sensor and insulin pump and has a control algorithm. DiAs streamed the patient data, and the team involved in the protocol remotely monitored the status of the patients and the devices. The study lasted for 42 hours. The results were satisfactory compared to the conventional Open-Loop System (OLS) involves taking insulin boluses for meals:

    • Time in the desired range: 94.83% vs. 68.2%.
    • Time in hypoglycemia: 1.25% vs. 11.9%.
    • Overnight Time in the desired range: 89.4% vs. 85.0%
    • Time-in-hypo: 0.00% vs. 8.19%, where the first percentage is for the CLS and the second one for the OLS [19] .
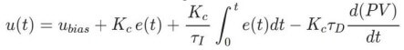
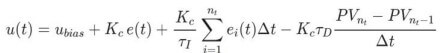
  3. Proportional-Integral-Derivative (PID):
  4. Figure 5
    Figure 5: A Comparison between an AP with PID only and thatwith PID + IFB. Black dashed line indicates BG target (120mg/dl); red dashed line indicates hypoglycemic threshold (60mg/dl); target range: (70 180) mg/dl. Brown triangles representmeals, and each red triangle indicates a single hypoglycemicevent [23] .
    PID is an algorithm that operates by tracking theerror between the measured output (ProcessVariable-PV) and the setpoint (SP) in each step(as shown in figure 5). Then, it computescorrection values. It measures mainly three valuesand adds them to have a sense for error correctionand decision-making: The error percentage value (proportional) – Theerror area between the curve of the PV values overtime and SP (Integral) – The rate of deviation ofPV from SP. PID has a general form of:
    Equation 2
    u(t) is a function of time that represents the algorithmcontrol variable. Kc is the controller gain constant. Itdetermines the percentage of the strength gained bythe error signal. A Higher Kc value will lead to moreaggressive correction behavior. u bias is a constant set to the control variable valuewhen the control is switched from manual toautomatic mode to provide a smoother transition,especially when the error value is low. e(t) = SP − PV, τI, and τD are the integral andderivative terms. Respectively, High values of τI willcause the integral part action to have a weaker effecton the algorithm. In contrast, high values of τDstrengthen the effect of the derivative side.
    Equation 3
    Since the CLS can’t have continuous feedback,discrete-time steps must be used in calculations [20] , and the average is taken from each step, which canbe modeled as:
    Despite PID being a widespread and very usefulalgorithm, it fails to moderate the large glucoseexcursions after meals (early hyperglycemia and latehypoglycemia) because of the dependence in PID ononly real-time changes in the glucose sensor. [21]
    Figure 6
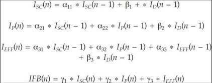
    Figure 6: The system of equations used for the IFB modification [23].
    One of the recent solutions to this problem is InsulinFeedback (IFB) modification. It is based onexperiments that illustrated that plasma insulin suppresses its secretion [22]. IFB accounts for theinsulin delivery history and reduces the next insulindelivery based on model predictions for thesubcutaneous, plasma, and interstitial insulin levels,instead of depending solely on real-time sensors datawhich has a time lag because of using SC systems.IFB’s equations system has the form (as in figure 6).
    ISC, Ip, and IEFF are estimates of real-time glucoselevels. ID is the insulin delivery value, and (n-1)denotes an estimate 1 min previously. α, β and γ areparameter values determined, and the subscriptsdenote the parameter insulin type or the order. In 2012, a study was done on four subjects aged1528 years to determine the effects of the IFBmodification. The performance of PID combinedwith IFB was compared with that of PID alone. TheMedtronic Closed System and its PID algorithmwere used in the study. In addition, the algorithmcalculations were calculated by a laptop computerthat received data each minute from the GCMS andsent corresponding commands to the insulin pump.The study data has taken 24 hours in which no snackswere allowed, and the patients had their meals withno announcements given to the system controller. No episodes of hypoglycemia took place during thePID + IFB control time as opposed to 8 under PIDonly time. Six of them happened in 3-5 hours after ameal. PID control tended to a higher frequency ofblood glucose levels under the target range (< 70mg/dl) contrasting the tendency of PID + IFB controlto achieve glucose levels above the range (> 180mg/dl). The problem may be solved by using “moreaggressive” tuning parameters that can reduce theduration of high glucose levels. It is worthmentioning that this study used the same controllergain constant while other studies increased it by afactor of 2 to negate the steady-state effect that IFBcause. The results graph was obtained, and it appearsin figure 6 [23] . It supports that the IFB modification in decreasingthe excursions of glucose levels (except duringdinner) and was able to decrease the hypoglycemiarisk. Besides, achieving more stable rates, avoidingboth hypoglycemia and hyperglycemia.
  5. Fuzzy Logic Controller (FLC):
  6. Fuzzy Logic (FL) is an algorithm that isfundamentally distinct from other algorithms. Otheralgorithms use precisely formulated mathematicalmodels for calculations to make decisions. FLdepends on linguistic rules and human experience todetermine the solution to a problem. The differencebetween traditional model-based algorithms and FLis that FL assigns values (probabilities) between 0and 1 for inputs. Giving an output according toprobability instead of using only false “0” and true“1” in what is known as “Boolean Logic” For instance, if the range of normal glucose levelswas set to be (70 – 180) mg/dl, a Boolean Logicalgorithm would treat 182 mg/dl as being strictlyhigh and would take decisions like that for a glucoselevel of 270 mg/dl. FL is a more “natural” algorithmsince it usually operates like our thinking, althoughone drawback is that it requires a lot of data and predefined rules to work [24].
    Figure 7
    Figure 7: FLC uses a set of rules tolerant of small deviations ofvalues. Here N, Z, and Prefer to negative, zero, and positive. L,N, and H mean low, normal, and high, respectively with Vdenoting "Very". The FLC will evaluate the value (state) ofeach term and output the number bounded by these states (blackcircle) [25] .
    In FL, a value may belong partially to more than oneset and can be useful in the AP case since it isimportant to stay in a safe range rather than lookingfor a strict solution. FLC in AP has three terms orsets: glucose level, glucose rate, and glucoseacceleration (rate of glucose rate). These setssimulate the reasoning of expert diabetes clinicians.A design for an FLC algorithm is (as shown in figure 7). You may think that an algorithm like FL would beless reliable or efficient because of its tolerance withrules and ranges, but it is a very robust algorithm andchallenges both MPC and PID in performance, andFLC has a great capability of incorporatingphysiological parameters like illnesses, anxiety, andexercise. Unlike other algorithms, it is highlycustomizable and designed to emulate humanthinking and experience.
    Figure 8
    Figure 8: A graph showing the blood glucose levels throughoutthe 24 hours in one of the study subjects. High stability in theglucose levels is noticed and no hypoglycemia orhyperglycemia is recorded [25] .
    Seven subjects were recruited and enrolled in a24-hour research study in 2013 to test FLC for usein AP, and the results were very pleasing. Theglucose levels stayed in the target range (70 – 180)mg/dl 65.0% of the time, and 76.3% of the time ifwe extended the range to 200 mg/dl FLC was ableto completely avoid any hypoglycemia glucoselevels with a time percentage of 0.1% under 70mg/dl and 0.0% under 60 mg/dl (hypoglycemialevel) and showed a great ability to avoidhyperglycemic events with the glucose levelsbeing only 0.1% in the hyperglycemia eventsrange with them lying mostly in the period from8-pm to 2-am [25] . (As shown in figure 8)

V. Comparison, Which Approach is Better?

Figure 9
Figure 9: A representation for the average performance of thepopular algorithms' controllers over 9 simulated subjects. MPCis a standard Model Predictive Control implementation, PID isfor an ordinary Proportional-Integral-Derivative control,EMPC is a multiple model probabilistic MPC, and BBrepresents optimal Basal-Bolus [17].
The research on AP algorithms in the last decadeshas shown great diversity in the methods used toachieve glucose stability from conventional mealboluses to automatically operated and advanced insulin delivery systems. Also, many algorithmswith MPC, PID, and FL as examples have beenintroduced in that field. Thus, what is the bestmethod or algorithm? Scientists and researchers have always consideredthis as a tough question, as there are a lot of factorsthat cause problems for any answer presented. First,all the discussed algorithms can be applied indifferent ways with different results. A graph like that shown in Boquete's paper, whichdiscussed the approaches used (figure 9), can helpto get primary data about the efficiency andcapability of the approaches, using them forcomparison purposes can be misleading becauseeach algorithm has no unified tuning or parameterization.

MPC ODEs can be very complicated or relativelysimple. The gain constant in PID can have differentvalues. Modifications like IFB and FMPD (fadingmemory proportional derivative) can be executed tomodify the behavior of PID. On the other hand, FL depends mainly on theexperience of the person defining the operationrules. Boquete, a strong MPC proponent noticedthat and mentioned it explicitly at the end of hisdiscussion: “I also agree that it is very difficult,even in simulation studies, to have a validcomparison of different algorithms. One way oranother, an algorithm must be tuned based on someperformance criterion, so if particular MPC andPID algorithms are tuned with different criteria,then there is no good way to compare them.[17, p. 11].

Figure 10
Figure 10: 4 Studies [26 − 29] that show more stable glucoserates in PID control compared to the rates in MPC control, S(x):study no. (x). UCLA: University of California, UVA:University of Virginia, BU/MGH: BostonUniversity/Massachusetts General Hospital, COH: City of Hope. CL: closed-loop, SCL: semi-closed loop, SD: standard deviation; CI: confidence interval: CHO, carbohydrate.
A case for the difference in results obtained dueto inconsistent conditions is presented by Garry M. Steil, Bequette’s colleague, and a PIDproponent, and shown in figures 10 and 11. However, the algorithms' fundamental propertiescan determine the merits and demerits of eachalgorithm, give engineers and clinicians a goodimage of it. For instance, MPC is a generalframework that has additional inputs or variablesincorporated in a standard MPC model. Besides,the objective can include the desired insulin-onboard range, which continues to have pharmacodynamic effects for several hours in theprediction horizon. Nevertheless, the main problem concerning MPCis that some of the model parameters, particularlythose responsible for decreasing basalrequirement need to be identified from the controldata and must be used in the control algorithm. So,increased amounts of data points (at least equal tothe number of model parameters) are necessary toidentify the parameters and keep the sensitivity ofthe estimates adjusted [31] .
Figure 11
Figure 11: A model simulation in which an MPC control iscompared to a PID one. In contrary to the previous studies, theMPC glucose rates appear to be more stable than that of PID [30].
The disadvantage in MPC is that forms with agreat number of equations (high order) result inlonger computational times and more batteryenergy consumption. While discussing PIDcontrollers, it is agreed that they are popular,known to be robust due to their integral action.They often have parameters that can be tunedother than the three standard ones, such asabsolute and rate limits, anti-reset windupfeatures, and derivative filters [17]. Also, PID canbe modified with many algorithms that improveits performance and like IFB and FMBD. FL is a simple but reliable algorithm, andapplying it affects glucose rates that are almostalways in the desired range. Also, FL is highlycustomizable and emulates human deductivethinking quite well, but FL is dependent onexperience. It can be subjected to mistakes andnon-optimal performance as the humanexperience is not perfect by nature. Also, FLrequires large amounts of data so that the rulescontain and can define every possible glucose andinsulin state (inputs) and its respective controlaction (outputs) [24] Subsequently, what is the answer to the question withwhich we started this section? Well, a definitiveanswer for this question in the meantime might notbe currently available due to the parametric andstructure uncertainty problems found in any recentcomparison study. Although using standards thatclinicians can agree on may reduce the severity ofthis problem. But I think that the question that we can answer and may represent the present and potentiallythe future of research objectives is: how can thealgorithms we use and the AP, in general, beimproved? The answers to this question are in thenext section.

VI. Results

According to a 6-month trial by the National Institute of Diabetes and Digestive and Kidney Diseases. It was testing the CLS on the Diabetes type 1 patients for targeting glycemic range. During the trial, patients who utilized the closed-loop device had lower glycated hemoglobin levels. The closed-loop system had beneficial glycemic effects during the day and at night, with the latter being more noticeable in the second half of the night. The glycemic advantages of closed-loop management were observed in the first month of the study and lasted for six months. The study population included both insulin pump users and injectable insulin users spanning a wide age range (14 to 71 years) and baseline range of glycated hemoglobin levels (5.4 to 10.6 percent), with similar results across these and other baseline features of the cohort. Patients had to be at least 14 years old and have a clinical diagnosis of type 1 diabetes; they also had to have been treated with insulin for at least a year using a pump or several daily injections, with no restriction on the glycated hemoglobin level. The experiment included a 2-to-8-week run-in phase (the length of which depended on whether the case had before used a pump or constant glucose monitor) to gather baseline data and teach patients how to use the devices. The use of a closed-loop system was linked to a higher percentage of time spent in a target glycemic range than the use of a sensor-augmented insulin pump in this 6-month experiment, including type 1 diabetes patients. [25]

VII. Future Research

It is important to declare that a few problems and gaps in the development of the CLS were not in the previous studies and research. We will address these problems here and introduce probable solutions for them: Inconsistent or ambiguous algorithm standards: a great portion of the studies not mentioned in detail. The implementation of the algorithm's methods in their research design and methods section or even adhere to them in some cases as the control algorithm may differ from the simulation algorithm in a simulation study. Examples of standards that should be well acquainted with are the applied parameters tuning, the algorithm version used, the number of steps, and their duration in the control and prediction horizons in MPC. This consistency problem causes inaccurate information and sometimes underestimating an algorithm due to unfair methodology. Clear information about algorithms and precise methodology documentation should be a necessity in any study that includes experiments whether they are on real subjects or simulations. Not enough / inadequate data: A major problem with regards to the research done on AP till now is the eminent lack of experiments on real subjects. Most of the studies of AP made so far have included 7 – 10 persons at maximum. In addition, the scarcity of experiments. It might be surprising that the first outpatient study made based on MPC was reported in 2014. Absence of diversity in the studies made because they are usually made in North America on adult North American patients. Diversity in characteristics of subjects plays an important role as a factor to ensure that a medical procedure is suitable and beneficial for a wide range of people and conditions. Unfortunately, a device like AP may not work well and provide desired stable glucose levels for Asian children. Diverting attention to AP studies, increasing their number as well as widening the health conditions, and geographical range of them will lead to the accuracy of the information available. Possible improvements for the algorithms:
Although the algorithms used in the AP CLS have greatly improved and got better since the CLS's first introduction in 1964, they are still not close to being perfect, and there is still definitely a place for improvement.
Taking PID as an example, a deviation measure with its specific experimentally obtained parameter can be introduced to the algorithm along with IFB to favor staying in the target range overachieving smooth glucose changes to avoid nocturnal hypoglycemia and hyperglycemia. The added existence of the IFB modification is essential to provide data about the insulin delivery history and make predictions for the insulin and glucose levels to allow the deviation measure to function efficiently. Research on introducing a deviation measure may provide valuable insight into the potential of this modification. A possible suggestion concerning FLC is developing a mobile application that connects the FLC database in the AP with the clinician computer and provides regular data about the insulin and glucose levels history. This app can allow the clinician to communicate with the patient and keep an eye on his condition wirelessly. The interesting part is that FLC is highly customizable and operates like ours using linguistic rules. The app could achieve a special benefit as it allows the clinician to monitor the patient status and modify the operation rules of the FLC through his computer according to the patient individual statistics and update them to be adjusted to the patient's needs. Such a mobile app can increase the efficiency of the algorithm and facilitate the communications between the clinician and the patient and between the clinician and the FLC. The app may attain pleasing and useful results.

VIII. Conclusion

For years, scientists have studied the natural pancreas and have been able to mathematically simulate its function using various methodologies and complexity levels. The mathematical model created by Banzi and coauthors is one of the dependable and not overly complicated models. Scientists' primary objective in developing the algorithms of the closed-loop system was to create an artificial pancreas that performs similarly to a natural one. Because of the high potential benefits of the closed-loop system, we decided to review it. Moreover, it has been the subject of several studies and tests. It consists of an insulin pump (the small cuboid-like apparatus) that may have the control algorithm inserted, a GCMS (the pieces at the bottom-right), and a communication device that allows doctors and experts to monitor the device and patient's condition. However, the development of algorithms and the addition of complexity to increase CLS performance in actual settings was and continues to be a key component of CLS and AP technologies. According to the volunteers that used the CLS, they completely forgot that they have diabetes, and the results were unexpected on the other hand, CLS has few problems and gaps, so we reconsidered these problems and find solutions to increase the efficiency of the project. AP aims to change the life of the patients mentally, psychologically, socially to make about half a million people get their work done without any suffering.

IX. References

The advancement of gene therapy conjures up the hopes of treating psychiatric disorders

Abstract Gene therapy is a potential treatment of many incurable, lethal, and chronic diseases as psychiatric disorders. Competing with other kinds of medications, gene therapy -also known as gene alteration- has been seen as a prospective therapeutic solution as genetics contributes intensively to the origin of many disorders. The emergence of gene therapy was accompanied by controversial arguments about its unknown side effects and effectiveness that impeded the development of gene therapy. After a lot of experiments on mice and deliberate research in the world of genomics, the first genetic therapy on the human body was conducted on a young girl who was diagnosed with a rare genetic disorder in 1990. The treatment went successfully, and it has spurred the implementation of gene therapy in numerous health issues. Among many diseases that can be treated using gene therapy, psychiatric disorders are the most prominent as they are profoundly affected by gene defects. Depression, Bipolar, Alzheimer’s, and OCD are examples of mental issues caused by defections in certain genes.

I. Introduction

For therapeutic purposes, genetics would be an effective solution. Gene therapy is the modification or manipulation of the expression of a certain kind of genes inside the cell body to change its biological behaviors to cure a specified disorder. But what makes biologists think of using genetics instead of using familiar medications such as pharmaceuticals? The reason is that genetics have a profound, direct contribution to most diseases -genes can mutate during the growth of the body, and genes could be missed from the moment of birth also. Such genetic problems could disrupt a chronic health issue. Gene therapy presents a promising attempt to treat different diseases such as leukemia, heart diseases, and diabetes. Also, gene therapy could be used to improve the immunity of a body during its fighting with immune destructive disorders like HIV [1].

II. Gene Therapy Overview

Gene therapy has erupted from the late 1960s and the beginning 1970s when the science of genetics was revolutionized. In 1972, Two genomics scientists Theodore Friedmann and Richard Roblin issued a paper named “A Gene therapy for human genetic disorders?”; their paper was pointing out that a genetic treatment is a potential cure for patients with incurable genetic disorders by merging a DNA sequence into a patient's cells. The paper encountered much disapproval as the side effects of gene therapy were unknown at that time. However, after deliberate research and experiments, in 1990 the first gene therapy trial on the human body went successfully. The therapy was conducted on a young girl who was diagnosed with a deficiency of an enzyme called ADA, making her immune system vulnerable, and any weak infection could have killed her. Fortunately, that trail has paved the way for gene therapy to flourish as a treatment among other types of medications.

III. Gene therapy vs genetic engineering

A renowned misconception is that people think that gene therapy and genetic engineering are synonymous; nonetheless, they are different technologies. Gene therapy is a technique that aims to alter the DNA sequence inside malfunction cells to cure genetic defects. On the other hand, Gene engineering is used to modify the characteristics of a certain gene to enhance its biological functions to be abnormal. Genetically Modified Organisms are an obvious example of genetic engineering products. For illustration, the advancement of biotechnological techniques enabled scientists to develop a kind of modified cultivated products with certain abilities to cope with human needs such as a plant with less need for fertilizers and more prolific outcomes [3].

IV. Gene therapy stages

You might have imagined gene therapy as the injection of the patient with a syringe that has a gene to simply substitute the flawed gene inside the cell. Mainly that thought is right, however, the process is not that easy.

Figure 1
Figure 1: how the vector enters the cell’s nucleus
Before we would insert the isolated, intended gene inside the body, we must know a new agent called Vector. As we know, we aim to change an abnormal gene inside a cell by entering a new gene but inserting the gene directly into the cell always tends to fail. Therefore, scientists looked for a carrier that would insert the gene successfully into the cell. Vectors are a carrier that would infuse with the cell and release its genome, inclusive of the required gene inside the targeted cell. The most used vectors are Viruses because they can easily fuse with cells and inject their genome inside them. Despite the bad reputation of viruses, engineered modified viruses are not harmful to the body. The way of how the viruses interfere with the cell depends on the kind of that virus. For example, Retrovirus fuses with the cell and integrates its genetic components inside the cell‘s chromosomes. On the contrary, Adenoviruses eject their components but without integrating them into chromosomes.
There are some other ways of injecting the body with vectors such as taking the cell outside the body and injecting it artificially with the vectors then returning it to the body [4].

V. Types of genetic therapy

There are two types of genetic therapy: somatic therapy and germline therapy. Somatic therapy is inserting the new gene in a somatic cell (cells that do not produce sperms or eggs). Somatic therapy does not ensure that the disease will not appear in successive generations, and it requires the patient to take it several times as its effect does not last long. On the other hand, germline therapy targets the reproductive cells which produce gametes that later develop into an embryo. Germline therapy occurs one time in life. It happens either in pre-embryo to treat genetic defects or it is used to treat a flawed adult sperm or egg before entering the fertilization process [5].

VI. Genetic therapy and psychiatric disorders

The productivity of individuals within their society is determined by their mental conditions. If they suffer from a mental issue, they will not behave well in their routines. Psychiatric disorders are a psychological and behavioral defect that causes disturbance in the functions, feelings, and perceptions of the brain. Ranging from sleep troubles to Alzheimer's, psychiatric disorders have many different forms, such as Depression, Schizophrenia, Bipolar disorders, and development disorders like ADHD [6]. Neuroscientists and researchers say that there are many factors attribute to the causation of chronic Psychiatric disorders. They classified those factors into two groups – minor factors and major factors. Minor factors, such as environmental and social influences, contribute less than those of the major factors [7] . Among many major contributors to psychiatric disorders, Genetics(heredity) is the most notable factor in all mental illnesses. According to advanced studies of genomics, Psychiatric disorders tend to be heritable, and mentally defective parents’ offspring have a high susceptibility to receive a mental illness. Etiology, the science of causation of a disease, has shown that both Depression and Bipolar disorders have profuse genetic origins [8]. Depressive disorders have about 30-40% genetic contributions [9] .

VII. What makes gene therapy the expected future approach for most of the psychiatric disorders?

Despite the continuous research and advances in medical treatment methods for various psychiatric conditions, a large number of patients remain unresponsive to current approaches. Development in human functional neuroimaging has helped scientists identify specific targets within dysfunctional brain networks that may cause various psychiatric disorders. Consequently, deep brain stimulation trials for refractory depression have shown promise. With the procedure and targets being advanced, that helped scientists use similar techniques to deliver biological agents such as gene therapy. Identification of specific molecular and anatomic targets is important for the development of gene therapy. In gene therapy, the vehicles used to transfer genes to the neurons in the brain are modified viruses, called viral vectors. Viruses have the ability to transfer their genetic material to the target cells. That enables viral vectors to take advantage of that ability. The viral coat of the vectors is able to deliver a payload with the therapeutic gene efficiently while decreasing the proteins or viral genes that might cause replication and spread of the toxicity or inflammation of the virus. [11]

  1. Depression
  2. Figure 2
    Figure 2: A human brain picture with labeled nucleus accumbens. [19]
    Neuroanatomic substrates and circuits of depression remain poorly understood although depression is one of the most widely studied psychiatric diseases.[11] Poor signaling of the neurotransmitter serotonin causes depression. Serotonin is trafficked by p11 protein in the living brain. The gene expresses a protein, which is p11, that binds to the serotonin receptor molecules carrying them to the cell’s surface and positioning them to the neighboring cells. A neurosurgeon, at Weill Cornell Medical College in New York, called Michael Kaplitt worked with Greengard and other researchers on an experiment that tested gene therapy’s ability to cure depression in mice. Firstly, the researchers used a technique known as RNA interference to block the expression of p11 protein in the nucleus accumbens of two mice, which were known to be linked to depression. Next, they injected a viral vector, which carried the p11 gene, into the nucleus accumbens of the mice lacking the gene. In the end, they found that the viral vector helped undo the depression-like symptoms in the mice. [12]
  3. Addiction
  4. In 1998, Carlezon et al. showed significant results in using gene transfer techniques to modify drugseeking behavior in mice.[13] Although the addiction to other drugs has been studied well, we will talk here about cocaine addiction as an example. Rats treated with a 5-HT1B agonist were found to have reduced cocaine-seeking behavior. The reduced cocaine-seeking behavior was blocked by the 5- HT1B antagonist. But, at the same time, 5-HT1B agonist reduced sucrose seeking in mice as well. Therefore, that indicates that 5-HT1B agonist caused anhedonia or depression-like behaviors in mice in addition to reducing cocaine-seeking behavior.[11] Recently, scientists were able to use similar methods to modify ethanol intake in animal models targeting the expression of the aldehyde dehydrogenase gene (ALDH2) leading to a significantly altered alcoholdrinking behavior. [13]
  5. OCD
  6. OCD, also known as obsessive-compulsive disorder, is present in 2% of the Earth’s population. It is characterized by obsessions that lead to anxiety and some behaviors could relieve this anxiety. It is a heterogeneous disorder that cannot be identified by clear biological symptoms or environmental causes. Sapap3 is a protein that is expressed in high levels in the striatum. In rodents, a deficiency of Sapap3 in the lateral striatum produced an OCD-like phenotype. The lateral striatum is a cluster of neurons in the basal ganglia of the forebrain. Sapap3 KO mice exhibited OCD-like behaviors that were alleviated by selective serotonin reuptake inhibitor treatment. [11]

VIII. Gene therapy and p11 protein in treating Depression /Bipolar

  1. Bipolar disorder and genetics
  2. Bipolar disorder is a serious psychiatric disorder that is also known to have a strong genetic component. Adoption studies, segregation analyses, and twin studies have shown that the possibility of developing bipolar disorder, especially BP-1, is sometimes very high due to genetic factors. The identification of a specific gene that causes the bipolar disorder is difficult because it’s not related to mendelian genetics, so it is more complex. Genome-Wide Association or GWA have started using dense SNP maps, also known as Single-nucleotide polymorphism, to study bipolar disorder. SNP mapping is the most dependable way to map genes because it is very dense. Baum et al used a two-stage strategy, he started with 461 bipolar cases and 563 controls, and he showed significant findings in a sample of 772 bipolar cases and 876 controls and found evidence for novel genes linked with bipolar disorder, including a gene for diacylglycerol kinase, which plays a main role in the lithium sensitive phosphatidylinositol pathway.[18] One of the major things that most people with bipolar disorder experience is depression. Therefore, we can say that reducing depression symptoms with gene therapy may lead to significant alleviation of the seriousness of the bipolar disorder.
  3. What is p11 protein?
  4. P11 is a kind of protein encoded by the gene S100A10. Its function is the intercellular trafficking of the transmembrane protein to the cell surface. Researchers found out that mice with a decreased level of p11 protein in their brains displayed a depression-like phenotype.[14] Moreover, they turned to the postmortem brains of 17 individuals, some of them had depression and others didn’t. Finally, they discovered that the individuals, who had depression, had lower levels of p11. Therefore, we can say that p11 has a role in treating depression.[13]
  5. Sucrose preference test and anhedonia in mice
  6. Anhedonia is the inability to experience joy from enjoyable activities and it is a symptom of depression. Sucrose preference test or SPT is a protocol used to measure anhedonia in mice. It was the reason why scientists were able to diagnose mice with depression. Therefore, they tested the injection of a viral vector containing p11 protein to cure depression. Rodents are known to naturally prefer sweet solutions when given a two-bottle free-choice regimen with access to both sucrose solution and regular water. However, when they experienced depression, they did not show a preference for the sucrose solution.

IX. Gene therapy pros and cons

Currently, gene therapy research has been ongoing for decades. Researchers say that it could be used to treat various diseases. However, they had to dive more into it to discover its pros and cons. Gene therapy is sometimes better than other treatments because it has many advantages. For instance, its effects are long-lasting as the defective gene is replaced by a healthy one. Therefore, that healthy gene is the one that will be transferred to the offspring. Furthermore, germline gene therapy can be used to replace incurable diseases’ genes in gametes. That results in eradicating genetic diseases such as Parkinson’s disease, Huntington’s disease, and Alzheimer’s disease. Conversely, gene therapy has several cons. For instance, it can go wrong because it is still under research. The immune system response can lead to inflammation or failure of the organ. In 1999, a clinical trial was conducted at the University of Pennsylvania on an 18-year-old man, who died at the end. In the clinical trial, the Ad5 vector was used to deliver the gene for ornithine decarboxylase, a deficient hepatic enzyme. An investigation by the university showed that the man died due to a massive immune reaction.[15] Moreover, it can be much more expensive than other treatments since it is a technologically-based therapy. Accordingly, socioeconomic segregation would emerge as the rich would be disease-free while others would be suffering.

X. Enduring with gene therapy is tough because it has many Ethical obstacles

  1. Gene therapy: A double-edged sword
  2. We must recognize that the power of gene therapy is not limited to the cure or prevention of genetic diseases. Many people support technologies that can avoid the birth of a child with a genetic disorder such as Tay Sachs disease, Down syndrome, or Huntington’s disease, although this technology might result in aborting established pregnancies. Questions about gene therapy have gone beyond its ability to cure some defects. Some difficult questions became broadly included such as:
    • What kind of traits will an infant have?
    • How much will economic forces affect the hiring or insuring of individuals who are genetically at risk of having costly diseases?
    • How much data can be secured if an individual’s genetic information is stored on computer disks?
    The human genome project is a research project about the genes that structure and control functions in the human body. The United States government has created a panel of ethics experts to prevent the use of the knowledge for harm. In fact, this project is similar to the early research stages of nuclear science. Nowadays, nuclear power is known to be a double-edged sword. Therefore, the leakage of information about the human genome project may lead to massive annihilation.[16]
  3. Controversy against gene therapy
  4. Critics assert that in a world that values physical beauty and intelligence, gene therapy may be exploited in a eugenics movement that promotes perfection. People with mental retardation will not be allowed to reproduce. That could lead to discrimination. The genetic profiles may be known by potential members of society which will result in the lack of privacy. Moreover, with the world valuing strengths, this could make special capabilities necessary for a person to be an active member of society. As a result, high standards of physical beauty, intelligence, and capabilities will be put which will result in inequality.[16] On the other side, many scientists support the development of gene therapy because it will benefit humankind and will enable them to save many human lives and alleviate their suffering.
  5. Justice in the distribution of gene therapy
  6. If gene therapy is shown to be effective and safe in curing diseases, the rich will monopolize the treatment. Additionally, it might be used for various reasons, other than just correcting genes, such as controlling the traits and gender of an infant. The presence of special capabilities in a human would be normalized which will lead to the preference of rich people with perfect modified genes. On the other hand, middle and low-income families will be under pressure to achieve perfection and that will make them oppressed. In addition, they will not have the opportunity to be treated with gene therapy because it is going to be highly expensive.[16]

XI. Conclusion

As genetic diseases are increasing rapidly and may result in chronic health issues, gene therapy would be one of the most promising medications. In addition to its significant success in curing diseases such as leukemia, heart diseases, and diabetes, it was discovered that it could contribute to treating psychiatric disorders. Various psychiatric disorders were noticed to have a major genetic component. As a result, research has been ongoing to find whether gene therapy was scientifically appropriate to treat psychiatric disorders or not. Several experiments have been conducted on mice to measure the therapy’s efficiency. Fortunately, these experiments have shown promise. As the research has demonstrated, gene therapy has numerous merits that can benefit humankind. Nevertheless, it has many disadvantages that can result from the reaction of the immune system. Additionally, critics affirm that the therapy could go beyond correcting genetic defects. So, ethical issues might emerge as genetic information will not be secured and standards of special capabilities will be put. That can prevent many people from being active members of society. To conclude, gene therapy is a double-edged weapon, however, further research on it will contribute to the eradication of many serious diseases.

XII. References

Cardiovascular impacts with astronauts on Mars

Abstract For centuries, humans desired to learn and explore outer space, leave this planet, and travel for many years. In recent decades, many steps have been taken in the right direction. As a result, we have successfully conquered outer space. However, the beginning was such a difficult step; as a new frontier is developed, new problems loom over the horizon. Many issues began to arise to oppose the projects of space exploration. It cannot be said that all the problems are associated with the space itself but rather with humans. Because it is related to humans and their health on other planets, medical issues remain the most significant and most severe globally. Just one of these issues is the cardiovascular system challenge. This research is going to delve deeper into the potential risks of the cardiovascular system and how it affects human life on other planets. Furthermore, some helpful suggestions for resolving the issue are provided.

I. Introduction

Africa was the origin of humanity. Nevertheless, we did not all remain there—our forefathers travelled all across the continent for hundreds of years before leaving. Why? We probably glance up to Mars and wonder, "What is up there?" for the same reason. Are we able to travel there? Perhaps we could [1]. There are several reasons to seek for a habitable planet to live on in the future. One of the most crucial reasons is the relationship between population growth and global warming. Because the circumstances on Mars are comparable and similar to those on Earth, astronauts prefer to study it. Astronauts on distant worlds, like Mars, face a range of difficulties. Medical problems are the most significant of these difficulties. Radiation, gravity (or lack thereof), fitness loss, and cardiovascular effects are just a few of the obstacles [2] . As a result, gravity has an impact on many components of the cardiovascular system, including the heart. On Earth, the veins in our legs, for example, work against gravity to return blood to the heart. The heart and blood arteries, on the other hand, alter in the absence of gravity, and the longer the flight, the more severe the changes. With microgravity, the size and structure of the heart, for example, alters, and the mass of the right and left ventricles decreases. This problem might be due to changes in myocardial mass and a reduction in blood volume. In space, the human heart rate is also lower than on Earth [3]. During long-duration spaceflight, fluid changes and ambulatory blood pressure decrease occur. Therefore, the systematic development and assessment of possible remedies have become a significant focus of space-related research. The priority for cardiovascular risks included (i) diminished cardiac function; (ii) impaired cardiovascular autonomic functions; (iii) impaired cardiovascular response to orthostatic stress; (iv) impaired cardiovascular response to exercise stress; (v) ---; Long-term cardiovascular deconditioning will need to be addressed in the context of future Mars missions in order to: (i) evaluate the efficacy of countermeasures and optimize them in order to ensure the astronauts' safety; (ii) improve and spread risk thresholds, especially for physical activity after landing. Specific pharmacological medications are meant to improve hemodynamic and autonomic functioning, among other things. Furthermore, spaceflight-induced alterations to the muscles and cardiovascular system lead to a reduction in aerobic fitness [4]. Consequently, fitness exercise will be excellent advice for avoiding minor problems from becoming major problems such as cardiovascular and fitness difficulties. The objective of this study is to offer an assessment of potential risks to the cardiovascular system during space flight based on a thorough analysis of published evidence. Specific therapy of processes linked with cardiovascular changes that lead to astronauts' operational performance being impaired will be addressed.

II. Risks to the cardiovascular system during space flight assessment

  1. Diminished cardiac function
  2. Experiments in orbit have shown that when astronauts return to Earth, their stroke volume is considerably reduced [5 , 6, 7, 8, 9, 10]. Echocardiographic data revealed that a smaller cardiac size was related to a smaller stroke volume [6, 10]. Although space flight is associated with less cardiac filling due to a reduction in circulating plasma and blood volume, data from magnetic resonance imaging measurements taken from four astronauts who participated in the 10-day D-2 NASA space mission revealed an average 14 percent reduction in left ventricular mass [11] . These are the first human data to show a risk of cardiac remodelling during space missions, affecting myocardial function and reducing stroke volume. Furthermore, ground simulation tests have shown that decreased ventricular compliance might impair diastolic function and affect heart-filling [12]. Nevertheless, recent data from animal trials on the ground and in space shows that smaller cardiac size merely reflects the impact of negative caloric balance and body mass loss that astronauts experience during space travel, resulting in a constant heart mass to body mass ratio [13]. Measurements of myocardial function curves before and after the 84-day U.S. Skylab mission [8], ejection fractions measured before and during the 237-day Russian Salyut-7 mission [14], and arterial pulse wave velocities measured before and during the Russian 23-day Salyut-1 and 63-day Salyut-4 missions [8], regardless. The findings from the space mission likely reflect the efficacy and significance of existing intensive exercise countermeasures in maintaining normal heart function. As a result, in the context of existing effective exercise space flight countermeasures, the risk of decreased cardiac function during or subsequent space travel appears to be minimal.
  3. Impaired cardiovascular autonomic functions
  4. After microgravity exposure, autonomicallymediated baroreflex systems that regulate cardiac chronotropic responses and peripheral vascular resistance may adapt, resulting in insufficient blood pressure regulation. Hypo adrenergic responsiveness has been proposed as a contributing factor to postflight orthostatic intolerance, as demonstrated by a link between low blood norepinephrine and lowered vascular resistance in astronauts before they syncope [15, 16]. Since sympathetic nerve activity, circulating norepinephrine, and peripheral vascular resistance are all increased in orthotactically stable astronauts after space flight [16], sympathetic withdrawal at the point of presyncope [17 , 16, 18], as well as blood sampling in the supine posture of only the presyncope astronauts, may explain other than hyperadrenergic responsiveness for lower circ. Presyncope was linked to reduced cardiac vagal nerve traffic withdrawal produced by carotid baroreceptor stimulation during stand tests after simulated and genuine microgravity [18]. Although syncopal individuals' heart rates increased with standing, their tachycardia was less than half that of no syncopal ones. These findings were the first to show that impaired carotid-cardiac baroreflex function can compromise tachycardic mechanisms' ability to optimize heart rate and, as a result, cardiac output while standing. As a result, the reduction of baroreflex-mediated cardiac chronotropic responses produced by microgravity might pose a cardiovascular danger by reducing reflex compensatory tachycardia responses, which are required to maintain sufficient cardiac output.
  5. Impaired cardiovascular response to orthostatic stress
  6. Since the U.S. Gemini program [19] , orthostatic hypotension and compromise have been well documented. Presyncope symptoms have been reported in 28 percent to 65 percent of mission specialists or scientists studied during a stand or tilt test after returning from specific life science space missions [5, 16, 18]. Lower circulating blood volume, stroke volume, and cardiac output, as well as a limited ability to raise peripheral vascular resistance, have all been related to astronauts' poor orthostatic performance during space travel [16 , 18]. It's obvious that an astronaut's incapacity to stand and conduct an emergency evacuation from a spaceship after landing might be a life-threatening situation. Consequently, decreased cardiovascular response to standing after returning from space might be one of the most serious threats to astronauts' safety, well-being, and performance.
  7. Impaired cardiovascular response to exercise stress
  8. Human individuals subjected to ground microgravity simulations have shown a substantial decrease in aerobic capacity in many tests [19] . More recently, after just 9 or 14 days in space, six astronauts showed a 22% drop in aerobic capacity, linked to a fall in stroke volume [14]. It is also evident that decreased heart-filling, i.e., end-diastolic volume, affects reduced stroke volume during physical labour in space [20] . The reduced circulating blood volume level is significantly linked with the percentage reduction in maximum oxygen consumption following cardiovascular adaptation to terrestrial micro-gravity simulations [19], implying a close connection between blood volume and cardiac filling. However, there is no indication in the literature that a loss of 20% to 25% of aerobic capacity during or after space flight has hampered operational effectiveness.

III. Cardiac output to Mars

Gravity affects several components of the circulatory system, including the heart. On Earth, the veins in our legs, for example, struggle against gravity to return blood to the heart. The heart and blood arteries, on the other hand, change in the absence of gravity, and the longer the flight, the more severe the changes.

  • With micro-gravity, the size and form of the heart, for example, alters, and the mass of the right and left ventricles decreases. This could be due to changes in myocardial mass and a decrease in fluid volume (blood). In space, the human heart rate (number of beats per minute) is also lower than on Earth. In fact, it has been discovered that the heart rate of astronauts standing erect on the International Space Station is similar to that of those resting down on Earth before takeoff. In space, blood pressure is also lower than on Earth.
  • The heart's cardiac output — the volume of blood pumped out each minute – diminishes in space as well. There is also a redistribution of blood in the absence of gravity: more blood stays in the legs and less blood returns to the heart, resulting in less blood being pumped out of the heart. Reduced blood supply to the lower limbs is also a result of muscle atrophy. Because of the lower blood flow to the muscles and the reduction of muscular mass, aerobic capacity is impacted. [20]
  1. Cardiovascular Health in Micro-gravity
  2. Figure 1
    Figure 1: Canadian Space Agency astronaut David SaintJacques performs an ultrasound for Vascular Echo, one of three Canadian experiments in the Vascular series, which study the effects of weightlessness on astronauts’ blood vessels and hearts aboard the International Space Station.
    The cardiovascular gadget that consists of each coronary heart and blood vessel has developed to perform in Earth’s gravity whilst standing, sitting, or mendacity down. Daily bodily hobby whilst running or exercise towards gravity maintains the entirety flowing smoothly. As quickly as astronauts arrive in micro-gravity, and whilst they stay at the blood and different frame fluids are pushed “upward” from the legs and stomach towards the coronary heart and head. This fluid shift reasons a lower quantity of blood and fluid with-inside the coronary heart and blood vessels even whilst astronauts enjoy swelling with-inside the face and head. Because spending time in the area impacts the human coronary heart and circulatory gadget, pretty a chunk of studies performed aboard the distance station seem at those results in each the short- and long-term. Much of this study's ambitions are to increase and take a look at countermeasures to cardiovascular modifications. What we examine has vital packages at the floor as well, as shown in figure 1, in component due to the fact the various modification visible in the area resemble the ones because of aging on Earth. Fluid shifts skilled via way of means of astronauts for the duration of prolonged micro-gravity missions on the distance station have an effect on now no longer most effective the cardiovascular gadget however additionally the mind, eyes, and different neurological functions. The obvious boom in fluid in the cranium is an idea to boom mind stress, which can purpose listening to loss, mind edema, and deformation of the attention referred to as Spaceflight Associated Neuron-ocular Syndrome. [21] In micro-gravity, the coronary heart modifications its form from an oval (like a waterstuffed balloon) to a spherical ball (an air-stuffed balloon), and area reasons atrophy of muscle mass that on Earth paintings to constrict the blood vessels, so that they can not manage blood go with the drift as well. On go back to Earth, gravity as soon as again “pulls” the blood and fluids into the stomach and legs. The lack of blood volume, mixed with atrophy of the coronary heart and blood vessels that may arise in the area, reduces the cap potential to regulate a drop in blood stress that takes place while we stand on Earth. Some astronauts enjoy orthostatic intolerance - difficulty or incapability to face due to lightheaded and/or fainting after go back to Earth. Exercise in the area is an effective manner to hold maximum forms of cardiovascular fitness. Equipment is to be had on the distance station each for resistive sporting events the use of the Advanced Resistive Exercise Device and cardio sporting events the use of a treadmill or desk-bound bike, as shown in figure (2).
    Figure 2
    Figure 2: ESA (European Space Agency) astronaut Alexander G erst gets a workout on the Advanced Resistive Exercise Device (ARED) in the Tranquility node of the International Space Station.
    Figure 3
    Figure 3: Canadian Space Agency astronaut David SaintJacques wearing the Bio-Monitor, a Canadian technology designed to measure and record astronauts’ vital signs. The Vascular Aging investigation uses the shirt to collect data.
    In addition, astronauts can put on unique trousers that use stress variations to drag blood returned into the stomach and legs. Important studies are being executed on the distance station to examine extra approximately SANS and to increase and take a look at countermeasures to the numerous viable specific cardiovascular modifications. This area station study has vital packages on Earth as well, in component due to the fact the various modifications visible in the area resemble the ones because of aging or illnesses -- cardiovascular disorder because of inflammation, loss of exercise, viable intracranial hypertension, orthostatic intolerance, and hormonal and metabolic modifications, as shown in figure(3). Scientists are inspecting the underlying cellular mechanisms at the back of many cardiovascular structures modifications are now no longer most effective in astronauts however additionally via way of means of the use of version organisms, mobile cultures, and stem cells. [22]

IV. Experiment

The radiation and low gravity of space also have an impact on the body’s vascular system, causing circulatory problems for astronauts when they return to Earth and an increased risk of heart attack later in life:

Figure 4
Figure (4): In support of the Blood Pressure Regulation Experiment (BP Reg), Chris Hadfield of the Canadian Space Agency is pictured after setting up the Human Research Facility (HRF) PFS (Pulmonary Function System) and the European Physiology Module (EPM) Cardiolab (CDL) Leg/Arm Cuff System (LACS) and conducting the first ever session of this experiment.
Marlene Grenon, MD, associate professor of vascular surgery, has long been interested in the effects of space flight on the vascular system. “Astronauts are in great shape, and training routines are a part of their daily lives,” Grenon said. “As a result, we must recognize what is taking place here. Is it a result of radiation? Gravity? What other physiological considerations are there?”. You Grenon researched the effects of simulated microgravity on the morphology of vascular endothelial cells, which line the interior of blood arteries. Grenon has a degree in Space Sciences from the International Space University and developed UCSF's first direction on the influence of spaceflight on the body, as shown in figure(4).

Grenon grew the cells and placed them in an environment that approximated a very low gravity environment. She discovered that a lack of gravity causes a decrease in the expression of specific genes within the cells that affect plaque adhesion to the vessel wall. While the effects of these changes aren't entirely evident, it's known that a lack of gravity has an impact on molecular features. Furthermore, previous research by Grenon revealed that micro-gravity causes changes among the cells that regulate energy flow within the heart, potentially putting astronauts at risk for cardiac arrhythmia. In 2016, Schrepfer looked into the vascular architecture of mice who had spent time on the International Space Station, as well as vascular cells produced in micro-gravity on Earth. Her team is still analyzing their findings, but it appears that the carotid artery partitions have thinned in mice in the location, maybe due to the lower blood pressure required for circulation due to the lower gravity. The researchers also discovered that the aesthetic cells showed changes in gene expression and control that were similar to those seen in patients with cardiovascular disease on Earth.While those changes aren't harmful in the microgravity of the Space Station, they have a deleterious impact on blood circulation on Earth.When astronauts return to Earth's gravity, muscle weakness is just one of the reasons they can't get up, according to Schrepfer. “They also don't get enough blood to their brain since their vascular function is impaired,” says the researcher. There is reason to be optimistic: Schrepfer and her colleagues have discovered a tiny chemical that prevents the weakening of vascular partitions in mice. She and her team are planning to conduct protection experiments on people on the inside in the near future. [23] [24]

  1. Calculations attempts on mars
  2. The floor gravity of Mars is simply 38% that of Earth. Although micro-gravity is understood to purpose fitness issues such as muscle loss and bone demineralization, it isn't always recognized if Martian gravity might have a comparable impact. The Mars Gravity Bio-satellite turned into a proposed task designed to examine extra approximately what impact Mars' decrease floor gravity might have on humans, however it turned canceled because of a loss of funding. Due to the shortage of a magnetosphere, sun particle events and cosmic rays can without difficulty attain the Martian floor. - Mars affords adversarial surroundings for human habitation. Different technology had been evolved to help long-time period area exploration and can be tailored for habitation on Mars. The current file for the longest consecutive area flight is 438 days via way of means of cosmonaut Valeri Polyakov, and the maximum amassed time in the area is 878 days via way of means of Gennady Padalka. The longest time spent outdoor the safety of the Earth's Van Allen radiation belt is ready 12 days for the Apollo 17 moon landing. This is minor in assessment to the 1100-day adventure deliberate via way of means of NASA as early because the 12 months 2028. Scientists have additionally hypothesized that many one-of-a-kind organic features may be negatively laid low with the surroundings of Mars colonies. Due to better tiers of radiation, there may be a large number of bodily side-consequences that have to be mitigated. In addition, Martian soil consists of excessive tiers of pollutants which can be risky to human fitness. - The distinction in gravity might negatively affect human fitness via way of means of weakening bones and muscles. There is likewise the chance of osteoporosis and cardiovascular issues. Current rotations at the International Space Station positioned astronauts in 0 gravity for 6 months, a similar period of time to a one-manner experience to Mars. This offers researchers the capacity to higher recognize the bodily country that astronauts going to Mars might arrive in. Once on Mars, floor gravity is simplest 38% of that on Earth. Micro-gravity impacts the cardiovascular, musculoskeletal, and neuronvestibule (critical nervous) systems. The cardiovascular consequences are complex. On earth, blood with-inside the frame remains 70% low the heart, and in micro-gravity, this isn't always the case because of not anything pulling the blood down. This will have numerous bad consequences. Once moving into micro-gravity, the blood stress with-inside the decrease frame and legs is drastically reduced. This reasons legs to come to be vulnerable via lack of muscle and bone mass. Astronauts display symptoms and symptoms of a puffy face and chook legs syndrome. After the primary day of re-access returned to earth, blood samples confirmed a 17% lack of blood plasma, which contributed to a decline of erythropoietin secretion. citations and a lot of references to your claims. [25] [26]

V. Pharmacological countermeasures

After such extensive experiments, both in space and on the ground, it was determined that physical therapy should target plasma or blood expansion, autonomic dysfunction, and impaired vascular reactivity. This can assist in the identification of the most appropriate countermeasures for orthostatic and physical work performance protection. Several practices included using agents such as Fludrocortisone or any electrolyte-containing beverages that can increase the amount of blood circulating throughout the body. In more detail, betaadrenergic blockers can be used to reduce the degree of cardiac mechanoreceptor activation or to inhibit epinephrine's peripheral vasodilatory effects. Furthermore, by inhibiting parasympathetic activity, disopyramide can be used to avoid vasovagal responses. Finally, alpha-adrenergic agonists such as ephedrine, etilephrine, or midodrine are used to increase venous tone and return while also increasing peripheral vascular resistance through arteriolar constriction. [27] Scientists relied on specific experimentation and testing of blood volume expanders and vasoconstrictors to test all of those agents. Scientists were able to debrief that consuming 8 g of salt tablets with 912 ml of fluid was designed to make an isotonic saline drink approximately 2 hours prior to reentry in an attempt to restore blood volume. This method was used for short-duration space missions, but exposure to microgravity for more than seven days did not yield the same results. After the saline drink failed to counteract the changes that occurred after a few hours, the question became how to maintain the body's state and treat orthostatic hypotension for such a long time. Fludrocortisone has been used successfully in the treatment of orthostatic hypotension; it works by increasing sodium and fluid retention as well as sensitizing alpha-adrenergic receptors. As such, Fludrocortisone appears to be most effective when taken over a period of days to weeks rather than all at once. In a more controlled experiment, the goal was to compare the efficacy of the saline regimen and Fludrocortisone as countermeasures for reduced plasma volume and orthostatic intolerance after spaceflight. [28] [29] The experiment was divided into two parts, the first testing the saline regimen and the second the Fludrocortisone. First, eleven healthy males were subjected to six hours of head-down bed rest at a slope of six degrees. Members were then divided into two groups. The first group ate eight salt tablets and drank 960 ml of water two hours before the ambulation. On the other hand, the second group received 0.2 mg oral fludrocortisone at 0800 and 2000 h the day before and 0800 h the day the subjects got out of bed (2 hours before standing). The plasma volume decreased by 12% on day 7 of bed rest, according to the findings. Fludrocortisone restored it, but saline load did not. Despite a similar increase in heart rate between the two groups, the saline loading group experienced more orthostatic hypotension than the fludrocortisone group. Finally, the use of Fludrocortisone as a treatment for orthostatic intolerance was discontinued. The α -agonist drug was recently used to treat the same symptoms under the same conditions. Using this type of drug on the same people produced better results than the Fludrocortisone and saline regimen. [30] [31]

VI. Conclusion

Finally, it can be said that traveling into space is now easier than ever, but the challenge now is determining how to achieve the best results and keeping track of self-health during space flights. As seen, medical issues arising from the cardiovascular system are critical due to their vitality in keeping the astronauts alive during their missions. We have seen how differences in gravity can lead to fundamental problems in space, such as changes in the size and structure of the heart muscle, fluid changes, and a drop in blood pressure. In addition to several possible outcomes, an experiment was shown to demonstrate how radiation and low gravity in space can have an impact on the human body, as well as issues with the cardiovascular system. Finally, using gravity calculations between the Earth and Mars, the scientific idea behind the medical problems is clearly proven. This reveals the mysteries underlying those phenomena.

VII. References

BCI based games and Psychiatric disorders

Abstract As modern computers technology developed to understand human brain signals, it’s great to use a computer system as an output of brain signals. This developed technology is brain-computer interface (BCI).A brain-computer interface, sometimes called a brain-machine interface or a direct neural interface, is a hardware and software communications system that allows disabled people a direct communication pathway between a brain and an external device system rather than the normal output through muscles. After experimentation, three types of BCI have been developed which are Invasive BCIs, semi-invasive BCIs, and Non-invasive BCIs that differ in their implementation place of the brain. BCI is used in different applications such as gaming applications that provide these disabled people with entertainment depending on their brain signals as well as its use in the medical field and the bioengineering one. In addition, its usage as neurofeedback therapy contributing to the treatment of psychiatric conditions such as ADHD and anxiety.

I. Introduction

Attention deficit hyperactivity disorder (ADHD) is a neurobiological disorder, characterized by symptoms of inattention, overactivity, and impulsivity [2]. ADHD is estimated to affect 5 % of children worldwide [5]. While many Psychiatric disorders like ADHD have no cure, advancement in gaming technologies in particular, has had a long-lasting effect in treating patients with these symptoms [5] . The idea of incorporating gameplay as a new treatment has shown great promise for patients with psychiatric and cognitive disorders.

Figure 1
Figure 1: Number of BCI Games Papers Per Year.
Brain-computer interfaces (BCIs) have been integrated in digital games since the beginning of BCI development [6] . Researchers have been exploring the potential of gameplay elements as a means of enhancing cognitive functions. By providing the patients with an entertaining environment, researchers hope to create more efficient therapy for patients with psychiatric disorders, BCI game therapy [5]. Recently, BCI games have become increasingly popular among many BCI research studies, with a large increase in the number of studies within the last decade (Fig. 1) [6] . BCIs enable users to interact with a device through brain activity only, this activity is measured and processed by the system's several hardware technologies, among which Electro Encephalo Graphy (EEG), Magneto Encephalo Graphy (MEG) functional Magnetic Resonance Imaging (fMRI), functional Near InfraRed Spectroscopy (fNIRS), Electro Cortico Graphy (ECoG) and Subcortical Electrode Arrays (SEA) have all been used for BCI research [3]. Integrating these technologies into a gaming environment will allow doctors to measure brain activity and neural signals during therapy.
Figure 2
Figure 2: Recording EEG signals
BCI games have become progressively more advanced in recent years, and have come to include 3-D environments, multiple user objectives, and hybrid control systems combining both conventional input devices and BCI systems [6]. These advancements have opened the possibility to test multiple paradigms during therapy. Neurofeedback (NF) therapy (T), In particular uses BCI to enhance attention and other cognitive abilities. The most commonly employed NFT is based on surface EEG, as it is cost effective, practical, and transportable [3]. EEG-NFT (fig. 2) involves measuring neural signals and guiding patients towards improved neural function: patients observe a suitable graphical representation of their actual brain activity, usually processed through a computer, and learn to selfregulate this activity in order to bring it to a desired state. Tasks involved in NFT are repetitive and standardized. When the task is finished, the system responds to the patient indicating they have reached the required brainwave pattern. Several conditions including attention deficit hyperactivity disorder (ADHD), anxiety, epilepsy, and addictive disorders have been treated using EEG-NFT, which shows the ability of BCI to treat both neurological and psychological disorders [3].

II. An overview of BCI

Figure 3
Figure 3: BCI loop and applications in different fields.
As modern technology advances and our understanding of the human brain deepens, we are getting closer to making some of science fiction's marvels a reality. Imagine having a real device that sends signals directly to the brain to make a person see, or feel something as soon as the person thinks about implementing this command. The development of a brain-computer interface (BCI) may be the most important invention that has occurred in decades for people with severe disabilities. The "BCI" is called a brain-machine interface or a direct neural interface. It works by transforming thought into reality without requiring any physical effort. It is a communication or association pathway between the human brain and an external device. BCIs had been the recent development of HCI, but still, many realms have to be explored. Following extensive testing, three types of BCIs were developed: invasive BCIs, partial-invasive BCIs, and non-invasive BCIs. Furthermore, BCIs have been used in a variety of extremely useful applications. For example, it has been used in bioengineering applications, where brain-computer interfaces have the potential to allow patients with severe neurological disabilities to interact and communicate with society again, supporting them to break free from isolation as well as move around and enjoy the scenic views. It also enabled quadriplegics or disabled people to play computer games without exerting any effort; all they had to do was think, and the BCI translated their thoughts into actions in the game [8] . Moreover, It used other fields like human subject monitoring, neuroscience research, man-machine interaction, military applications, and counterterrorism [9].

III. Loop and components

Figure 4
Figure 4: the closed loop of BCI.
BCI is comprised of five elements that form a closed loop on its framework, as shown in Figure (4). These are “Control paradigm”, “Measurement”, “Processing”, “Prediction”, and “Application” [10]. The BCI interprets a user's intention or mental state using these five steps and uses the information to run the application. This closed loop between the user and the application is repeated until the system is terminated, with the four modules forming an interface between them.

The following are the specifics of the BCI elements: Control paradigm: At this stage, the user can transfer data to the system by pressing a button with the appropriate function, or by moving the mouse in traditional interfaces. However, BCI necessitates the development of a "control model" for which the user can be held accountable. For example, the user may imagine moving a part of the body or focusing on a specific object to generate brain signals that include the user's intent. Some BCI systems may not require intended user efforts; instead, the system detects the user's mental or emotional states automatically. They are classified as active, reactive, or passive approaches in terms of interaction. Measurement: Brain signals can be measured in two ways: invasively and non-invasively. Invasive methods, such as electrocorticogram (ECoG), single microelectrode (ME), or micro-electrode arrays (MEA), detect signals on or inside the brain, ensuring relatively good signal quality. However, these procedures necessitate surgery and carry numerous risks; thus, invasive methods are clearly not appropriate for healthy people. As a result, significant BCI research has been conducted using non-invasive methods such as EEG, magnetoencephalography (MEG), functional magnetic resonance imaging (fMRI), and NearInfrared Spectroscopy (NIRS), among others. EEG is the most widely used of these techniques. EEG is inexpensive and portable when compared to other measuring devices; additionally, wireless EEG devices are now available on the market at reasonable prices. As a result, EEG is the most preferred and promising measurement method for use in BCI games. Processing: The measured brain signals are processed to maximize the signal-to-noise ratio and select target features. Various algorithms, such as spectral and spatial filtering, are used in this step to reduce artifacts and extract informative features. The target features that have been chosen are used as inputs for classification or regression modules. Prediction: This step makes a decision about the user's intention or quantifies the user's emotional and mental states. Classifiers such as threshold, linear discriminant analysis, support vector machine, and artificial neural network are commonly used for prediction. Application: After determining the user's intent in the prediction step, the output is used to change the application environment, such as games, rehabilitation, or treatment regimens for attention deficit hyperactivity disorder. Finally, the user is given the predicted change in the application as a response.

IV. BCI Applications

Figure 5
Figure 5: example of Bioengineering applications.
There are numerous applications that use BrainComputer Interface (BCI). Bioengineering, human subject monitoring, neuroscience research, manmachine interaction, military, gaming, and counterterrorism applications are a few examples. We'll go over a quick rundown of some of these applications.
  1. Bioengineering
  2. Brain-computer interfaces have the potential to enable patients with severe neurological disabilities to re-enter society through communication and prosthetic devices that control the environment as well as the ability to move within that environment as shown in figure (5) [11].
Figure 6
Figure 6: People playing Ping Pong Using BCI
  1. Gaming
  2. In that hectic life, the most important interest is work and maybe family which increases boredom. So, what thoughts about disabled people without even work or entertainment? Some researchers have focused recently on the application of BCI to games for use by healthy people. Studies have demonstrated examples of BCI applications in such well-known games like “Pacman” , “Tetris”, and “World of Warcraft”, as well as new customized games, such as “MindBalance” , “Bacteria Hunt” , and others [10]. Disabled people through amputated limbs or even paralysis live most of their life in a boredom feeling; so many research are done to provide them with entertainment factors through BCI sensors that enable a direct control between brain signals and an external device as computer or robot. Hence the use of BCI in gaming began. Gaming BCI is a very interesting development of BCI usage where it allowed these people to get entertained through games depending on their brain signals without such a big effort. In addition, the gaming section increases from user ability to acquire new skills of controlling BCI through the entertainment engagement and the extra communication modalities through the interesting compete play also through gaming enthusiasm that allows getting from level to a higher one to get more ranking in the completion through more and more efforts and attempts. So, that increases people's ability to control and become more adaptable to BCI systems, and then the accuracy of the resulted signals increases [12] . Besides the general gaming benefits in stress relieving, brain function improvement, and the energetic (fresh feeling).
  1. Medical
  2. The spectrum use of BCI for control is very wide and includes different applications such as neural prostheses, wheelchairs, home environments, humanoid robots and much more. Another exciting clinical application of BCIs focuses on facilitating the recovery of motor function after a stroke or spinal cord injury.
  3. Neuroscience research
  4. Neuro-technology and Neurosciences have been continuously advancing, as a result society, individuals, and healthcare professors had to deal with this advancement, BCI seems to be an emerging technology in Neurosciences. Also it is known that BCI technology is providing such a direct relation between our brains and the external devices by passing the neuromuscular pathways [13]. This amazing technology had a great impact in making a disabled person communicate with his/her environment [14]. BCI has changed the way provided by Professors to the neurosurgical services it also helped to achieve the neurosciences laboratory advances [15]. One of the main challenges facing neuroscientists is to understand how our brains networks work together. One method was actually used was to deliver brief pulses of an electrical current inside a patient’s brain and at the same time, the resulting voltage in the other regions of the brain is measured and monitored. Recently, a new sub-field of Neuroscience has been matured as an effect of BCI, It was mainly around the systematic measurement and stimulation through the implanted arrays of our brain surfaces, deeplypenetrating electrodes which are typically called “Coritco-Cortical Evoked Potentials” (CCEPs), and in special cases the short pulses that happen regularly after each other by several seconds only, “Single Pulse Electrical Stimulation” (SPES) [16]. However, this new field generated a great complex, time-intensive, and difficult to measure tasks for humans, but a well-suited tasks for AI machines, So the researchers created a new type of AI algorithm for this purpose.

V. Psychiatric disorders

Mental illness or psychiatric disorders are mainly a wide range of health conditions or neurological disorders that can affect your mood, thinking, and even your behavior. It doesn’t mean that people having mental health concerns from time to time have a mental disorder, but a mental health concern is said to be a mental disorder in case of ongoing symptoms that affect the person’s ability to function. A variety of environmental and genetic factors are the main cause of Psychiatric disorders, this includes:
  1. The brain chemistry
  2. This happens when the neural networks involving the brain chemicals (that carry signals to different parts of the body and brain) are impaired, the function of nerve systems and receptors changes causing depression and other mental issues.
  3. Inherited traits
  4. Many genes are capable of increasing the risk of developing mental disorders.
  5. Environmental exposures before birth
  6. Exposure to some conditions, toxins, drugs, or Alcohol can sometimes be linked to Psychiatric disorders. Examples of Psychiatric disorders include ADHD, Autism, addictive behaviors, eating disorders, schizophrenia, anxiety disorders, and depression.
All these examples of Psychiatric disorders cause many common symptoms including feelings of guilt, fear, and worry, confused thinking, inability to concentrate, continuous feeling down and ongoing sadness, extreme tiredness, inability to handle stress, drug, and alcohol-abusing, excessive violence, in addition to trouble understanding of some situations and people. A psychiatric disorder can also lead to many physical symptoms including stomach pain, headache, and back pain. Due to all of these symptoms, a treatment way must be followed, the treatment way mainly depends on the symptoms the person have, ways of treatment include:
  1. Medication
  2. Although medications don’t cure, they just improve symptoms
  3. Psychotherapy
  4. Also, they are called talk therapy, involves talking with a therapist about mental issues and conditions. Psychotherapy in most cases is completed successfully in just a few months, but in many cases, life-long treatment is needed.
  5. Brain-stimulation treatments
  6. They are usually used for treating depression, they include electroconvulsive therapy, vague nerve stimulation, repetitive transracial, deep brain stimulation, and magnetic stimulation.
As we are currently at the age of technology, scientists invented a new way to treat Psychiatric disorders using Brain-Computer Interface (BCI). BCI has been used in the treatment of attention deficit hyperactivity disorder (ADHD) which is a neurological condition that causes many symptoms including hyperactivity, impulsivity, loss of attention, and cognitive task difficulty. It also can be responsible for the negative academic skills and semiprofessional outcomes. Scientists have found that the interactive multi-player games are the same as a therapeutic and long-term usage due to the higher social motivation and cooperation among children with ADHD [17].

VI. ADHD treatment using BCI based games

To treat ADHD using BCI based games, an experiment was conducted in 2015 to study a BCI system that mainly uses steady state potentials, such that their main target is to improve the attention levels of people suffering from ADHD [18] . This system was in the form of a game composed of two sub-rooms, the first one is a 3D classroom including 2D games on the blackboard. This game’s main purpose is to measure patients’ attention levels by changing the game environment from the 2D classroom to the 3D one. Results have shown that when the game environment changes from the 2D environment to the 3D one, in addition to adding some distractions to the screen, patients’ attention levels drop and they get distracted. Also, Results have shown that when attention levels advances, accuracy levels decrease during playing, and time taken to pass a level increases [19]. So, the higher the level of the game, the harder and more difficult it becomes to concentrate. More recently, a new game was held named FOCUS, its main purpose is to detect and determine the focus & attention of patients suffering from ADHD. The game utilizes the EEG BCI device in order for the player or the patient to control the game’s avatar movement by concentrating, by this way the attention level of patients with ADHD is amplified and thus ADHD is treated [20].

VII. BCI game therapy

Neurofeedback or electroencephalography (EEG) according to its medical term is a kind of biofeedback, process to learn how to change physiological activity for the purposes of performance and improving health, that measures brain waves and body temperature in a non-invasive way where it changes and normalizes the speed of specific brain waves in specific brain areas to treat different psychiatric disturbances like ADHD and anxiety. So, it teaches self-control of brain functions by measuring the brain waves then giving feedback represented in audio or video. The produced feedback depends on the susceptibility and desire for the brain activities where it's positive or negative of the brain activities are desirable or undesirable, respectively. Neurofeedback is adjuvant therapy for psychiatric conditions such as attention deficit hyperactivity disorder (ADHD), Generalized anxiety disorder (GAD), and phobic disorder The treatment starts by mapping out the brain through quantitative EEG to identify what areas of the brain are out of alignment. Then EEG sensors are placed on the targeted areas of your head where brain waves are recorded, amplified, and sent to a computer system to process the produced signals and give the proper feedback. Then that brain current state is compared to what it should be doing [21]. Given the fact that intrinsic motivation is found in gaming and that it provides positive influences on concentration and motivation, it’s recommended to focus on gaming when creating neurofeedback training software. Imagine neurofeedback which is applied as a treatment is being perceived as fun and enjoyable action which is found in games. In this case a shift from ‘treatment’ to ‘play’ could be both desirable and achievable [22]. So, serious games proved their worth and have been found effective training tools in mental health care, for example, for improving cognitive abilities in older adults, improving cognitive functioning in patients with alcohol abuse, enhancing emotional regulation in individuals with eating disorders, band improving executive functioning in children with attention deficit hyperactivity disorder (ADHD) [23]. In addition, Games are developed to be appealing to psychiatric patients that increase their motivation for treatment through neurofeedback therapy. Furthermore, these games represent effective training tools in mental health care where they improve cognitive abilities in adults

VIII. Conclusion

The Neurofeedback (NFB) therapy technique provides the user with real-time feedback on brainwave activity. That activity is measured by sensors in the form of a video display and sound. Brain-Computer Interfaces (BCI) framework consists of five stages that form a closed loop. BCI helps patients with neurological disabilities to re-communicate by prosthetic devices. BCI also provides disabled people through amputated organs with the entertainment they need; as they mostly feel bored. Gaming BCI allowed these people to get entertained through games that don’t need effort, only brain signals. Psychiatric disorders are mental health issues that can affect your mood and actions. A variety of things are capable of causing these disorders. Inherited traits & environmental exposures can be reasons for psychiatric disorders. Psychotherapy is one of the ways to get rid of mental health issues. In most cases, psychotherapy is completed successfully in a few months, but in many cases, a life-long treatment is needed. Brain-stimulation treatment can be used to get rid of depression, but as it is the age of technology, BCI is now capable of getting rid of those disorders. Depression, substance abuse, anxiety, and mood instability; all these are disorders that NFB has shown effectiveness in. There is proof that supports the idea that NFB decreases seizures. Some proof also supports the effectiveness of NFB for ADHD.

IX. References

Artificial consciousness: from AI to conscious machines

Abstract Consciousness is a subjective (implicit) experience. Artificial consciousness aims to simulate this consciousness. This is by building a model as complex as a human brain. Any model less complex than the brain will not be able to simulate the human brain nor a part of it. Building a subject is one of the biggest difficulties because scientists till now don’t know what specifically a subject is. Consequently, it is impossible to build something you don’t know it. Many attempts tried to build machines able to do tasks with the same proficiency as humans. Many attempts succeeded as deep blue that beat the chess world champion Garry Kasparov, but this didn’t reach human consciousness yet. It just follows specific complex commands. This category of machines lacks emotions, love, creativity, desire, and curiosity. Now, scientists try to model the brain by RAM which every neural connection (synapse) equals a floating-point number that requires 4 bytes of memory to be represented in a computer. The brain contains 1015 synapses that equal 4 million GBs of RAM. This memory is not available on a computer till now. It is predicted that it will be available near 2029. This idea may fail for any reason, but all researchers, scientists, and technologists believe that artificial consciousness will become a reality someday even in the far future.

I. Introduction

  1. What is Consciousness?
  2. Consciousness is one of the most mysterious scientific concepts. Scientists till now discover more about the methodology of human consciousness. Consciousness is everything you experience and everything you feel, which are sometimes named qualia. Many modern philosophers believe that this is just an illusion as they believe should be a meaningless universe of matter and void [1]. Logically this is wrong as it doesn’t depend on any scientific reason and it is opposite to the real situation that these experiences, by way or another, exists.
    Figure 1
    Figure 1: Human Brain Anatomy
    In 2018, David Gamez, a Lecturer at Middlesex University, developed another explanation for consciousness: over the last 3 centuries, science has developed a series of interpretations of the world that have stripped objects of their sensory properties. You consciously deal with an apple as a red and tasty object, but scientifically apples are colorless collections of jigging atoms. These colors, sounds, smells and all sensations that we encounter in our daily life need to be associated with something and this thing is consciousness. Gamez defines “consciousness” as another name for our bubbles of experience, which contain the sensory properties that science removed from the physical world [2] .
  3. The rise of Artificial Consciousness accompanied by Artificial Intelligence
  4. The rise of AI especially and technology generally in the 20th century caused the foundation of a new field related to AI which is Artificial Consciousness (AC). The idea of the universal effective AI model, which is creating machines as have all human aspects, is the reason that scientists created a new field [3] [4] [5]. Scientists consider Artificial Consciousness as a branch or sub-field of AI. The reason is that Artificial Intelligence (AI) is the ability of a digital computer or computercontrolled robot to perform tasks commonly associated with intelligent beings (human activities) [6], Artificial Consciousness is the simulation or the use of AI to model a conscious machine. The ambiguity here is as mentioned before, consciousness is one of the most ambiguous scientific concepts about humans till now, and AI depends on computations, algorithms, processing, and functions of AI method to simulate human activities, but consciousness is thought to be untouchable with those methods.[7] Artificial Consciousness is mainly inspired by human imagination. This is proved by the idea that the first spot on intelligent robots was by sci-fi movies and stories. Since the early 1950s, sci-fi movies depicted robots as human-crafted machines able to perform complex operations, work with us on critical missions in hostile environments, or pilot and control spaceships in galactic travels [7]. The most famous example of this archetype, HAL 9000, the main character in Stanley Kubrick’s 1968 epic, 2001: A Space Odyssey. HAL controls the entire spaceship, talks as a human with the astronauts, recognizes the crew’s emotions and renders aesthetic judgments. it also murders astronauts in pursuit of a plan elaborated from flaws in its programming. On the other side, it plays chess too. This theme was developed by time from James Cameron’s terminator in 1984 to terminator 2 in 1991 and the matrix in 1999 [7]. Nevertheless, the term of AC was not used in those movies. It was just an interesting fantasy theme. The words “Artificial consciousness” were first used in the book Kibernetikai ge´pek, by Tihame´r Nemes, the author, in 1969. He wrote a paragraph about Artificial Consciousness indicating the features of a conscious machine. AC is a controversial concept because it gives rise to several issues that require combining much information from different disciplines especially computer science, neurophysiology, and philosophy [7]. AC can be classified into two kinds:
    • Weak artificial consciousness: It is a simulation of conscious behavior. implementation of a smart program that simulates the behaviors of a conscious being at a primary level of technology and AI, without understanding the mechanisms that generate consciousness [8]. Something like a primary model.
    • Strong artificial consciousness: It refers to real conscious thinking emerging from a complex computing machine (artificial brain). In this case, the main difference with respect to the natural counterpart depends on the hardware that generates the process [8].
    This review will focus on the development of artificial consciousness from weak to strongest predicted version. It focuses on the biological and psychological perspectives too, conducting many questions about AC and aiming to solve it by representing the rise and the development of AC and what ambiguities it faced chronologically.

II. Consciousness, biological process, or psychological concept:

Consciousness is a subjective experience. What “it is like” to perceive a scene, to endure pain, to entertain a thought, or to reflect on the experience itself. When consciousness fades, as it does in dreamless sleep, from the intrinsic perspective of the experiencing subject, the entire world vanishes. Consciousness mainly depends on the integrity of certain brain regions and the particular content of an experience depends on the activity of neurons in parts of the cerebral cortex (look at fig 1 [9]). In fact, refined clinical and experimental studies are not sufficient for understanding the relationship between consciousness and the brain. It is still anonymous why the cortex supports consciousness when the cerebellum does not, despite having four times as many neurons [10]. As a prescientific term, “Consciousness” is used in widely different senses. A machine must be turned on properly for its computations to unfold normally. Distinguishing two other essential dimensions of conscious computation can be useful. We label them using the terms global availability and selfmonitoring. C1: Global availability corresponds to the transitive meaning of consciousness (as in “The driver is conscious of the light”). It refers to the relationship between a cognitive system and a specific object of thought, such as a mental representation of “the fuel-tank light.” This object appears to be selected for further processing, including verbal and nonverbal reports. Information that is conscious in this sense becomes globally available to the organism; for example, we can recall it, act upon it, and speak about it. This sense is synonymous with “having the information in mind”; among the vast repertoire of thoughts that can become conscious at a given time, only that which is globally available constitutes the content of C1 consciousness[11] In at least three quite different ways the term “consciousness” has been used.

  • (1) It has sometimes been defined as a state, as in drowsy, alert or altered states of consciousness.
  • (2) It has also been used to refer to an architectural concept, namely the executive system at the center of cognition that seems to receive input, allocate attention, set priorities, generate imagery, and initiate recall from memory.
  • (3) It may be used as an indicator of representational awareness, as in becoming conscious of some specific idea or event.
From an evolutionary perspective, these different meanings of the word elicit very different explanations in terms of biological fitness and selection pressures; moreover, their underlying mechanisms appear in evolutionary history at different times and in different species. For example, the brain mechanisms of state variables would appear to be more fundamental than the other two, since basic arousal and sleep mechanisms evolved early and are essentially similar in many mammals. The neural machinery supporting our putative attentional architecture comes next in the evolutionary hierarchy since it is concerned mostly with the control of complex behaviors and only appears in fairly advanced organisms.[12]

III. AC Origin

  1. The origin of the term “AC”
  2. Engineers are in always attempt to design something, which could not be defined precisely. They aimed at building artificial replicas which imitated some features of something, real or virtual, that elicited their imagination [13] . On the other hand, neuroscientists like Giulio Tononi and Gerard Edelman claimed that [14]: To understand the mind we may have to invent further ways of looking at brains, and here is how it starts:
  3. AC tech discipline
  4. Artificial consciousness is a technological area closer to robotics and AI technical fields. It is not surprisingly a scientific discipline and has a limited relation to psychology or neurosciences. Nevertheless, in the future, artificial consciousness could give unexpected contributions to the understanding of the study of the human mind because it is a reliable testbed for checking theories and hypotheses. Artificial consciousness is perfectly described as “epigenetic robotics” both disciplines stress the role of development. However, artificial consciousness leaves the implementation of the sensory-motor-cognitive system to epigenetic robotics. In simpler terms, AC is addressing the issue of the robot with the external environment. because artificial consciousness sits on two giants’ shoulders (neurosciences and artificial intelligence), researchers are not seeking to make a confusing use of linguistic terms, Today, the term ‘artificial consciousness’ has a pure technological meaning. Researchers often use consciousness in its folk psychology and everyday meaning. The researchers in the field of artificial consciousness know well that the study of natural consciousness is far from being conclusive [15] . Researchers adopt a typical engineering attitude. They build artifacts that evoke characteristics of a human being from the scratch. However, they do not want to insert a module (a sort of ‘consciousness module’) in a pre-assembled robot. They want to build a conscious-like robot, i.e. a robot which behaves like a conscious being. Very often, engineers build artifacts before knowing exactly the laws which are at the basis of the processes and methods used in the construction of the artifact itself (engineers design and build proteins even if they do not know the laws governing the protein folding in 3D). Ray Kurzweil writes: The question here should be “how will we come to terms with the consciousness that will be claimed by non-biological intelligence?” Such claims will be accepted from a logical practical perspective for only one thing “they” will turn into “us”, so there won’t be any clear distinction between non-biological and biological intelligence. Furthermore, these nonbiological entities will be extremely intelligent, so they’ll be able to convince other humans of their consciousness:
    • They’ll have the delicate emotional cues, which convince us today that humans are conscious.
    • They will be able to make other humans feel contradictory feelings.
    • They’ll get mad if others don’t obey their claims.
    But, this is fundamentally a political and psychological prediction, not a philosophical argument. [16]
  5. From AI to AC
  6. “Mind cannot be demonstrated as identical to brain activity” an equivalence that Bennett and Hacker regarded as a metrological fallacy [3] . We experience only humanoid consciousness as a whole and not in one of his/her parts, not even in a neural sophisticated part like the brain. If the concept of a man-made artifact that acts like a human being were accepted, artificial consciousness would acquire a new status and it would be an updated version of artificial intelligence. In 2005, Teed Rockwell wrote in his issue, Neither Brain nor Ghost, that one of the biggest mistakes of symbolic systems AI was to substitute the propositions that are caused by experience for the experience itself—this may be right in case of linguistic experience only, but the experience is not limited to linguistic affair only. Those AI researchers, who limited experience to linguistic affairs only, saw common sense as a particular set of concepts [17]. Another attempt by other researchers was to translate common sense into a set of propositions and store all the propositions in their machines’ memories. But it is clear to almost everyone that it was a doomed project. It was necessary to program in even statements as obvious as ‘when you put an object on another object and move the bottom object, both objects move’, one of many statements that never has to be verbalized by anyone who has a body and conscious brain and has used them to try to move those objects then failed and recognized why this phenomenon happened then stored this observation or conclusion in form of experience consciously to use it in other situations.

IV. AC technical development and difficulties

  1. How to verify consciousness (Turing test)?
  2. In 1950, Alan Turing, an English mathematician, computer scientist, logician, philosopher, and theoretical biologist, tried to answer one of the most ambiguous questions at this time “can computers think?” Turing considered the machines as digital computers only and operationalized thinking as the ability to answer questions in a particular context. The test is to ask a question for a computer and the same question for a human operator. Both answer it on a keyboard for 5 minutes. The answer should be well enough that the interrogator could not easily discriminate between the human and computer. The examiner inputs a question about anything that comes to his mind. Both the computer and the human respond to each question. If the examiner cannot with confidence distinguish between the computer and the operator based on the nature of their answers, we must conclude that the machine has passed the Turing test [18] [7] [19]. Point to consider, Turing in his original paper didn’t mention consciousness except in the context of an objection that the thought in the brain is always driven and accompanied by feeling. In other words, consciousness is feeling. So, the text generated by the machine in the absence of feeling, however it seems convincing, could not be taken as a sufficient indicator of thought [19]. In 1990, the Turing test received its first formal acknowledgment. Hugh Loebner, a New York philanthropist, and the Cambridge Center for Behavioral Studies in Massachusetts established the Loebner Prize Competition in Artificial Intelligence. It was awarded a $100,000 prize for the first computer which succeeded in the Turing test [7] [19].
  3. Development of Turing test
  4. In 1998, the questioning’s scope has been wider and nearly include anything. Each judge selects a score on a scale of 1 to 10. 1 means human and 10 means computers. Now, current computers can pass the Turing test (pass here means confidence distinguish between the computer and human) in case presence of restrictions to interact to highly specific topics as chess. So far, no computer has given responses indistinguishable from a human, but every year the computer’s scores edge closer to an average of 5. The possibility of building a device that will pass the human Turing test, at least in the far future, is not ruled out yet [18] [19]. More recently, people have suggested extensions to the standard test that involve processing more material beyond text as audio, visual data, or controlling a humanoid body in a human-like way for an extended time interval. By these suggested modifications, passing any of the Turing tests needs a machine would almost certainly have to have experience of the world, a capacity for imagination, and emotional behavior. Because there is no sequence of pre-programmed responses is likely to be convincing over an extended time [19].
  5. Computer beats human
  6. On 11 May 1997 at 3:00 P.M. in New York City, for the first time in the history, a computer beat reigning world chess champion, Garry Kasparov. It was IBM’s Deep Blue. It is estimated that the search space in a chess game includes about 10,120 possible positions. Deep Blue could analyze 200 million positions per second. Deep Blue victory can be explained by its speed combined with a smart search algorithm, able to account for positional advantage. In other words, computer superiority was due to brute force, rather than sophisticated machine intelligence. The conflict here is whether this means that Deep blue is conscious or not [20] [7] [21]. If Turing’s thought was applied in this case, so this means that Deep Blue is conscious. Because Kasparov expressed doubts while he was playing against the computer. Sometimes, he felt like playing against a human, not a programmed machine. In some situations, he appreciated the beauty of the moves done by the machine, as if it was driven by intention, rather than by algorithms. So, this asserts that if the Turing test was conducted here, Deep Blue will certainly pass the test as its performance can’t be distinguished from human performance. so, in Turing perspective, Deep Blue is conscious. The conflict here when considering another perspective. From a pragmatic perspective, Turing may be right. We as humans believe that anyone like us is self-conscious too. The reason is that we consider the similarity between us as a factor, this person has as same organs as me and has the same brain too. So, he is self-conscious like me. Nevertheless, if something with a different structure as mechatronics organs, neural processors, and technological parts, but behave as a human. The answer now may be different, the possibility of being self-conscious is not low. In the case of Deep Blue, it doesn’t behave like humans. It is like a calculator. It does the ordered process, but does Deep Blue or Calculator understand what they do? They both apply or take procedures by following specific given algorithms or commands with a difference in complicity [20] [7]. It can be said that this category of machines as a calculator or Deep Blue is driven by electronic circuits working in a fully automated mode. It doesn’t show creativity, love, emotions, or unlogic decisions depending on desire or livingorganism instinct. Just act as operated slave [20].
  7. Difference between subject or object:
  8. Manufacturers work on building sophisticated robots called epigenetic robots. They aim to reach unique personalities for robots through the interaction with the environment and make them capable of going through a series of development phases of a normal human (from toddler to adult). This idea appeals to consumers. Moreover, robots must show emotions like happiness, anger, surprise, and sadness, in different degrees. Those robots must be curious and able to explore the external world on their own: these robots develop concerning their personal history. However, designing and implementation of robots capable of having a subjective experience of what happens to them are not achieved yet. The recent research on consciousness is focused on the design of conscious machines. The time has come to elevate from behavior-based robots to conscious robots. before any new design approach towards a new generation of artificial beings, engineers have to deal with a new problem: how to build a subject? engineers didn’t use to build subjects before [7] [4]. Implicit, which is subject, in many theories is explained as an external event and is represented in the brain (the object), so they are connected, but from the same perspective they are different, they are not the same thing. This undemonstrated hypothesis is the reason why it is hard to address what is consciousness. So, this makes building subjects nearly impossible till scientists clearly demonstrate what is consciousness [7] [4].
  9. Is it possible the machines could be conscious?
  10. In 1980, the philosopher John Searle presented his proof that machines could not possibly think or understand. The reason is that computers do human tasks but in an unintelligent manner. He believes that no matter how good the performance of the program if it can’t think and understand [22]. Nevertheless, this assumption has some problems. If this reason was applied to the biological counterpart or human brain. In fact, those are also biologically operated to respond to specific inputs by specific reactions and each neuron automatically responds to any input according to fixed natural laws. Each neuron or cell does its function, but it could not possibly think or understand why it did that. In other words, cells are not conscious. However, this does not prevent us from experiencing happiness, love, and irrational behaviors. This negates Searle’s assumption [20]. In 2015, a book called “Impossible Minds” discussed this topic from a scientific rigor aspect. It addressed the diversity between biological and artificial brains. They both can do the same task in different ways. This doesn’t matter on the result that we observe, which is consciousness. So, the issue became in our beliefs. If we believe in AC concerning our religious regulations. This means that the possibility of realizing an artificial self-aware being remains open [23]. All research indicates that AC is possible. No one reason negates this fact. It is not achieved yet. But it is possible, and scientists predict that it will happen in the near following years.

V. AC future

  1. When will a machine become self-aware?
  2. Figure 2
    Figure 2: The self-awareness threshold
    After proving that creating conscious machines is not impossible yet. The scientific answer to this question is controversial, but it is possible to indicate a condition that must happen to consider the machine as self-aware. A neural network must be as complex as the human brain or more because less complex brains are not able to produce conscious thoughts. It will not produce any conscious thoughts (see figure 2 [7]). Consciousness is a step function of brain complexity [20] .
    Figure 3
    Figure 3: Typical random-access memory installed in personal computers
    Since memory is used to simulate the human brain. What is the capacity of the memory needed to equate the brain in complicity? The human brain contains about 1012 neurons, and each neuron makes about 103 connections (synapses) with other neurons. So the total equals 1015 synapses. Each synapse can be simulated by 4 bytes. In consequence, 4 x 1015 bytes (4 million Gigabytes). Then, Is such a memory available on a computer? Since 1980, the RAM capacity has increased exponentially by a factor of 10 every 4 years (see figure 3 [20]). So, bytes = 10 ((year – 1966)/4)
    We just have to substitute that number in the equation above and compute the result. The answer is the year 2029. In any case, even if we adopt different numbers, the computation’s basic principle remainsthe same. we could advance that date by only a few years.

VI. Conclusion

Consciousness refers to your personal perception of your unique thoughts, memories, feelings, and environments. Essentially, your consciousness is your awareness of yourself and the world around you. This awareness is subjective and unique. From a neurological perspective, Science is still exploring the neural basis of consciousness. But even if we have a complete neuroscience picture of how the brain works or performs, many philosophers still believe that there is still a problem they call the "Consciousness Problem." The brain is the most complex organ in the entire universe as we know it. It has about 100 billion neurons. It has more neural connections than there are stars in the entire universe. This is why we are incredible beings who have a spark of consciousness. A popular discussed approach to achieve general intelligent models that can be conscious is whole depending on reaching a “brain simulation”. The low-level brain model is created by scanning and mapping the biological brain in detail and copying its state to a computer system or other computing device. Eventually, it is possible to indicate a condition that must happen to consider a machine as self-aware or conscious. A neural network must be at least as complex as the human brain because less complex brains are not able to produce conscious thoughts. Actually, it will not produce any conscious thoughts. Scientists and technical now work on building a model as complex as the human brain. It is just a prediction. However, they believe that AC will reach human consciousness in 2029. Even this attempt failed, AC will reach human consciousness even in the far future.

VII. References

Dialysis Machine: Effect of Technological Advancements

Abstract Eight decades ago, the first artificial blood purifier was invented. Today, in a world where spending twelve hours a week in treatment is not a viable option to many patients, the same bulky machines are still used. Fortunately, scientists have been vigilant, and the notion of developing a portable, reliable dialysis machine has been sought by many. In this paper, we first begin by analyzing the principle of Dialysis. Then we shed light on the technological innovations achieved ever since the first dialysis machine was mass-produced. The use of a high-flux membrane dialyzer, ultrapure dialysis fluid, and convection fluid has proved to greatly improve Dialysis. However, the difficulties still prevail. And so long as an efficient substitute can be found for the dialysate and proper healthcare can be given to patients at home, a portable dialysis machine is not going to be devised.

I. Introduction

The kidney is arguably one of the most important organs in the human body because it cleans the human blood from toxic wastes, so when it loses its renal functions, the person can be exposed to death. Hence, scientists have long hoped to invent a machine that simulates the function of the kidneys to clean human blood. The first successful machine for human Dialysis was invented and operated in the 1940s by a Dutch physician called William Kloff. Kloff came up with the idea of developing a blood purifier when he saw a patient with kidney failure. Kloff became interested in the possibility of artificial stimulation of kidney function to remove toxins from the blood of patients with uremia, or kidney failure. Although only one person was successfully treated, Cliff completed experiments to develop his design [1]. William kloff relied in his invention on the use of cellophane after discovering that (cellulose acetate) can be used as a semi-permeable membrane to purify the blood from waste.[2] The Clove machine consists of a horizontal rotating drum made of wood slices wrapped around 30-40 meters of cellophane (cellulose acetate) tubes, and the lower part of the device is suspended in a dialysate (salt solution).[2] The patient’s blood enters the device through a cannula connected to the artery, and then the blood moves to the cellophane tubes wrapped around the rotating drum. When the drum rotates, the tubes sink into a solution, and the waste moves from the higher concentration to the lower concentration, meaning from the blood through the cellophane (semipermeable membrane) to the solution [2]. The full dialysis cycle takes about 6 hours. And then the blood entire the body again through another cannula connected with a vein. This is how the first human blood cleaning machine was invented. After many developments in the field of Dialysis to this day, we have become dependent on two types of Dialysis: hemodialysis and peritoneal Dialysis. Hemodialysis: In hemodialysis, a doctor creates a vascular access site in the patient’s arm before hemodialysis, then the blood is pumped from the body to the artificial kidney machine, which removes waste from the blood through a semi-permeable artificial membrane using the Dialysis solution and is returned to the body through tubes that connect it to the device. Needless to say, hemodialysis is done in hospitals [3] . Peritoneal Dialysis: Peritoneal Dialysis, on the other hand, requires a catheter, or piece of tubing, placed in your belly. The dialysis solution enters the abdominal cavity [4]. The blood is purified while inside the body, where the protein membrane in the patient's abdominal cavity is used as a semi-permeable membrane [4]. Then the waste and the solution filled with the waste are collected. The filtering process is finished, the fluid leaves your body through the catheter. Since the blood does not need to leave the body, this process is carried out at home. As all this development came from studying the diffusion of gases, not liquids, and that is what will be discussed in this paper.

II. The scientific premise behind Dialysis

The principles of Dialysis can be tied back to Thomas Graham’s discovery of diffusion. In his first article on Gaseous diffusion, Graham proposed that the gaseous flow was proportional to its density. He examined the escape of hydrogen via a tiny hole in platinum and observed that hydrogen molecules were moving out four times more quickly than oxygen molecules. His tests were designed in such a way that he could quantify the relative speeds of specific molecular movements. He also observed that heat enhanced the speed of these molecular movements while increasing the force that resisted the atmospheric pressure by a certain weight of the gas. Graham's numerical calculations revealed that the velocity of flow was inversely proportional to the square root of the densities. His law demonstrated that the specific gravity of gases could be assessed more precisely than usual. He also remarkably noted that diffusive gas escapes faster in a compound. This paved the way for the invention of the dialysis machine. In Dialysis, Blood flows by one side of a semi-permeable membrane, and a dialysate, or special dialysis fluid, flows by the opposite side. A semipermeable membrane is a thin layer of material that has holes of different sizes or pores. Smaller solutes and fluid pass through the membrane, but the membrane blocks the passage of larger substances. This replicates the filtering process that occurs in the kidneys when the blood enters the kidneys, and the larger substances are separated from the smaller ones in the glomerulus [5].

Figure 1
Figure 1: Osmosis, diffusion, ultrafiltration, and dialysis
Another concept that is used in Dialysis is reverse osmosis (RO). Osmosis is the method through which water flows from a more concentrated solution into a less concentrated one across a semi-permeable membrane to reach a state of equilibrium. This means that clean water flows through the filter to the polluted water so that the concentrations are equaled: contrary to the goal of Dialysis. In reverse osmosis, an applied pressure is employed to counteract osmotic pressure and drive water from high contaminant concentrations to low contamination levels. It is therefore driven backward, and the contaminated water attempts to enter clean water, but since the filter must be passed first, the pollutants are held, and only the pure water goes through them, which is exactly what the goal of Dialysis is. Figure 1 illustrates the various mechanisms of flow discussed [6].

In general, there are pretreatment systems before dialysis devices, which deliver a high quality of water according to appropriate requirements, (primarily reverse osmosis [RO]). Scientists believe that the malfunctioning of pretreatment systems and the resultant poor feed water quality of the dialysis instrument might be related to some tragic occurrences at dialysis centers. Minimum trace element concentrations such as heavy metals in Dialysis can severely disrupt trace element concentration in individuals with Dialysis. Elements such as aluminum, nickel, cadmium, plum, and chromium must thus be taken into account in particular. The rise in nickel level, for example, may lead to acute nickel poisoning. Aluminum also causes a disrupted balance of calcium phosphate not just in dialysis patients, but also in brain and bone conditions. over a long-term period of periods of time. Based on the above, reducing heavy metals in water is highly essential. [7]

III. Technological Innovations in Hemodialysis

i. Online Monitoring Technologies

Dialysis Automation and Profiling has made the process safer for the patient and the care team, reducing the un-physiologic incidences of human mistakes. Online Monitoring relies on the immediate information of Parameters blood volume (BV), dialysate, conductivity, urea kinetics, and thermal energy balance. The dialysis machine uses these measurements to apply automated actions to achieve the body's standards, such as sodium and potassium modeling and temperature control which affect the patient during or after the Dialysis. [8]

ii. Effects of Automated sodium modeling

According to the received measurements, the machines decide to keep the current concentration or change it; one of these measurements is the dialysate sodium concentration. The machine tends to raise the dialysate sodium concentration to prevent intradialytic hypertension causing after dialysis vicious harms; Increased thirst, Intradialytic Weight Gain, and Hypertension; keeping in mind that fluid retention of ≥ 4 kg between two subsequent dialysis sessions is associated with a higher risk of cardiovascular death. [9] No studies have proven that the high dialysate sodium concentration is better or more unsafe than the average dialysate sodium concentration. By the same token, some strategies keep the hemodynamic stability as safety rates away from the sodium modeling high risk, such as Temperature Modulation. [10] But due to the online monitoring technology, the dialysis teams don`t require understanding the dialysis process, which makes the nurses use the high dialysate sodium concentration to reduce hypertension during the session, ignoring the longterm effects.

iii. Effects of Automated potassium modeling

An analysis: part of the 4D study has been conducted which shows that a portion of high mortality is sudden death or abnormal cardiac rhythm, where:
  • Patients without sinus rhythm were 89% more likely to die.
  • Cardiovascular events and stroke risk increased by 75% and 164%, respectively compared with preserved sinus rhythm patients.
  • Left ventricular hypertrophy with more than two-fold, increases the risk of stroke and sudden death incidences by 60%. [11]

The sudden shifts in the plasma potassium because of hemodialysis sessions can cause death in arrhythmia-prone patients. The lower concentration dialysate potassium is used to remove the excess potassium, being the necessary gradient. [12] In the early stages of Dialysis, the plasma potassium concentration decreases rapidly, increasing the risk of ventricular arrhythmias even if the patient doesn`t have a prior record of heart disease.[12] The online monitoring has solved this problem by modeling the potassium concentration in dialysate in a way to minimize initial rapid deflation; also, every kind of patient has a different dialysate potassium concentration where intradialytic premature ventricular patients use fixed-rate (2.5 mmol / L) potassium or use a declining potassium concentration ( 3.9 to 2.5 mmol / L ) and the one who has constant blood to dialysate potassium gradient of 1.5 mmol / L. [13] A comparison was made between the two potassium dialysate concentration techniques with 30 arrhythmia-prone HD patients. Every patient went through the same acetate-free biofiltration sessions: randomly, the constant concentration ( 2.5 mmol / L ) potassium and potassium the decreasing dialysate potassium. During the dialysis sessions, the Holter Electrocardiographic and plasma electrolyte measurements were recorded. After the sessions with approximately 14h, the results show that the constant potassium protocol is 3.9 times higher than the declining one in the premature ventricular contractions with no difference in any other points noticing that the experiment was conducted only on the potassium concentrations. [14]

iv. Effects of Automated Temperature Modelling

Temperature modeling has been experienced by modifying dialysate temperature via blood temperature monitoring integration in the HD machines. The machine adjusts the dialysate temperature between 34 &35.5◦ c according to the patient blood temperature of 37◦ c. which results in cardiovascular stability during the HD treatment better than the normal dialysate temp. [15] A review has conducted all the temperature adjustment techniques like reducing dialysate temperature, either an experimental, fixed Dialysate temperature reduction or a biofeedback temperature control. The review shows that reducing the dialysate temperature effectively decreases intradialytic hypertension without affecting dialysis adequacy, noticing that the long-term effects haven`t been examined yet. [16] The mean positive impact of online monitoring technologies and techniques is the body factors stability during and after the dialysis process as in the potassium and temperature modelling techniques. On the other hand, sodium modeling has shown positive results in reducing hypertension during processing, with after processing harmful impacts like hypertension and increased thirst. The most dangerous effect is the team knowledge of dialysis process basics & sudden incidences that can occur, whereas shown that automation of the process has canceled required understanding of dialysis process that the nurses and patients must-have.

IV. Purity of Dialysate and Dialysis Water

The water & concentrates used to produce dialysate and the dialysate are required to meet quality standards to reduce the injury risk of HD patients due to the chemical and microbiological contaminants that can be in the dialysate. [17]

Intact bacteria V.S. Bacterial Products

In the dialysate, there are non-vicious contaminants like intact bacteria that can`t proceed the dialyzer membrane, and vicious bacterial products such as endotoxins, fragments of endotoxin, peptidoglycans, and pieces of bacterial DNA which can cross into the bloodstream causing chronic inflammation due to stimulation on mononuclear cells. The induced inflammatory state may be an essential contributor to the long-term sickness associated with HD. [18]

Preparation of Ultra-Pure Water

Studies have shown that tiny fragments of bacterial DNA can maintain a chronic inflammation in HD patients by prolonging the survival of inflammatory mononuclear cells. [19] With more attention in the dialysis centers to ultra pureeing, the water used in dialysate will help in reducing the chronic inflammatory cases. However, there aren`t studies demonstrating beneficial direct outcomes by using ultrapure water and dialysate, and if it is not helpful, it is not harmful. For ensuring safety, it`s recommended to ultra-pureeing dialysate water and the dialysate.

V. Hemofiltration & Hemodiafiltration

Hemodialysis is based on diffusion; exchanging solutes from one fluid to another through a semipermeable membrane along a concentration gradient. Even HD High-Flux Membranes don`t make a difference in the number of removed solutes because solute diffusivity decreases rapidly with increasing molecular size. Despite that, convection therapies such as Hemofiltration (HF) and Hemodiafiltration (HDF) can remove larger solutes. Convection requires large volumes of substitution fluid which is covered with online ultrafiltration of dialysate and sophisticated volume control systems to maintain fluid balance.

Hemodiafiltration

HDF using a high-flux membrane dialyzer, ultrapure dialysis fluid, and convection fluid is highly efficient. As studies results, the high-efficiency online HDF is associated with a 35% reduced risk for mortality. Also, Regular use of online HDF is associated with reduced morbidity as compared with standard HD. [20]

Hemofiltration

A comparative study has been made on High-flux HF with ultrapure Low-Flux HD, shows a significant survival rate in HF compared with standard HF (78% V.S. 57% 3yrs follow-up). The study has demonstrated inclusion and logistic problems associated with online monitored Hemofiltration. [21] The HDF and HF have ensured the efficient longterm effects by studies and patients reviews. However, it is needed to conduct more studies on these techniques to ensure the patient's safety.

VI. Difficulties facing the development of portable dialysis machines

Many obstacles have hindered the development of a smaller dialysis machine let alone a full-fledged wearable artificial kidney. The primary impediment has been the lack of an effective strategy to enable toxin removal without using substantial volumes of dialysate — a limitation that applies to both hemodialysis and peritoneal Dialysis.

Figure 2
Figure 2: shown the massive improvement that occurred when trying to reduce the amount of (dialysate) solution used in the dialysis machine
In figure (2), we can see the massive improvement that occurred when trying to reduce the amount of (dialysate) solution used in the dialysis machine. As in (A), the patient’s blood enters the dialyzer and enters the dialysate solution from the other direction, then the blood is purified by using a semi-permeable membrane and the reverse osmosis process and after each cycle, the blood returns to the body and the solution is regenerated within the device in order to start a new cycle and the old solution is discarded and Each cycle requires about 120 liters of dialysate solution. [22] (B) represents peritoneal Dialysis (PD). During PD, the hypertonic dialysate is instilled into the peritoneal cavity via a catheter to allow diffuse and convective removal of waste solutes and osmotic removal of excess water across the peritoneum. [22]
After a certain period of time, the fluid (containing waste and excess water) is drained and disposed of. C and D is a representation of an artificial kidney that can be worn and transported, as it has a purification unit for the dialysate solution (dialysate regeneration), thus using a smaller amount of solution (<0.5L), and smaller device size. [22]
  1. The use of sorbent material.
  2. NASA has extensively studied ways to remove organic waste from solutions to restore potable water during manned space travel. These efforts have led to the development of sorbents (materials that absorb other compounds very efficiently), which can also be used to detoxify dialysate solutions. Almost all attempts to develop a wearable artificial kidney to date have incorporated absorbent materials into the dialysate circuit to replenish the dialysate. Sorbents containing activated charcoal are very effective in absorbing heavy metals, oxidants, and some uremic toxins such as uric acid and creatinine However, sorbents have historically proven ineffective in binding and removing urea, which has limited the usefulness of sorbent-based systems. [23]
  3. decomposition of urea by using enzymes
  4. There have been many attempts by scientists to convert the urea compound contained within the dialysate solution to be reused into a compound of ammonia and carbon dioxide using enzymes, then the ammonia is absorbed using a sorbent called zirconium phosphate and the carbon dioxide is disposed of in the atmosphere. However, the combined use of sorbents and the enzymatic decomposition of urea are being tested by scientists and are under study. [23]
  5. Electro-oxidation
  6. This method also dates back to early NASA investigations of using electrooxidation to electrolyze urea into carbon dioxide and nitrogen gas on metal-containing electrodes. After that, these gases are excreted into the atmosphere. But since urea is an acid, this can lead to the corrosion of the metal, so work must be done to develop this method. Even if dialysis machines were to be reduced in size, there are many problems that patients with kidney failure will face. For example, health care, where patients in the hospital are safe next to the doctors and nurses, but if the Dialysis becomes mobile far from the hospital, there will be no strong health care, and a patient on portable Dialysis will not have access to a caregiver in the event of machine failure or exsanguination due to vascular disconnection. [23] As we saw there are some of the ways that are being worked on to establish a purification unit for the dialysate solution in order to use a smaller amount of solution and thus reduce the size of the dialysis machine.

VII. Conclusion

It cannot be denied that impressive technological innovations in the field of Dialysis have been introduced in the past few decades from the first machine has been invented until now. However, the translation of these technical achievements into hard clinical outcomes is more difficult to demonstrate but some innovations really had helped dialysis be better. Despite that, it is unlikely that any of the innovations will be used in the next few years as there aren`t enough studies that ensure the long-term safety of patients. Furthermore, the need for a caregiver at disposal will remain a must if an artificial kidney were to be introduced.

VIII. References

Evaluating the effectiveness of smart nanomaterials in Nanodrug Delivery Systems

Abstract Nanodrug delivery systems (NDDSs) are drug delivery systems made of materials on the nanoscale which encapsulate active compounds which aim to treat certain conditions. They can be made of many different materials; however, hydrogels, polymeric nanoparticles, and carbon nanotubes have become one of the more prominent NDDSs in recent years. Each NDDS has properties specific to its material. This literature review will seek to establish which NDDS has the best abilities in terms of some specific general properties which can be observed in all DDSs, with the focus on hydrogels, polymeric nanoparticles, and carbon nanotubes. After analyzing the data and properties of each of the three materials, we found each one surpasses the others in one property that makes it unique. Thus, determining which of these specific NDDSs is the most effective in general is difficult, and they should be chosen based on what they would be utilized for in a specific circumstance.

Keywords: nano-drug delivery systems, hydrogels, polymeric nanoparticles, carbon nanotubes, biomedicine, toxicity, bioavailability, retention, biodistribution, biocompatibility, solubility, sustained release, administration routes, mechanical strength

I. Introduction

Nano drug delivery systems have recently become increasingly more studied for their potential. Their main advantage is their improved bioavailability and specific drug delivery, which makes them better suited for the treatment of some conditions than traditional drugs. Because of this, drug delivery systems have become more sophisticated as they focus on a more controlled and targeted release. This helps avoid the systemic release of the therapeutic substance. Bioavailability implies the part of the drug in question which enters the circulation and is, therefore, able to be absorbed and have an effect. The bioavailability of nanoparticles is generally improved due to increased solubility or the mechanisms which allow for their passage through cell membranes. [1] Because of this potential of nanoparticles, it is important to understand the general mechanisms of certain types of NDDSs (nano-drug delivery systems), and the materials used in their production, such as carbon nanotubes, polymeric nanoparticles, and hydrogels.

II. Methodology

This paper is designed to critically evaluate the overall efficacy of 3 smart nanomaterials when used in Nanodrug Delivery Systems. Scientific information was carefully selected by the authors from numerous reliable sources. To facilitate this, Zotero was used to bookmark every source and its respective citation, which was then added to an extensive Bibliography. All citations and the Bibliography follow the IEEE citation styles due to its widespread usage in highly scientific research papers. By analytically assessing each of the 3 materials before rigorously comparing all of them together, the authors were able to fully describe each material in its own context before formulating further comparisons. The criteria for finding sources was restricted so that only primary sources are used – this action demonstrates that scientific information is not unaltered in phrasing nor the style of writing, as only the sources are located and used.

III. Materials

  1. Hydrogels
  2. Figure 1
    Figure 1: Hydrogels
    A hydrogel is a three-dimensional (3D) network of hydrophilic polymers that can expand in water and store a significant quantity of water while preserving structure owing to chemical or physical cross-linking of individual polymer chains, as seen in figure 1. Biopolymers and/or polyelectrolytes are used to make hydrogels. [2] For a substance to be classified as a hydrogel, it must contain at least 10% water by weight (or volume). Because of their high water content, hydrogels have a similar degree of elasticity to real tissue. The network's hydrophilicity is owing to the presence of hydrophilic groups.
    Hydrogels may be classified into two categories, according to the source: those made of natural polymers and those made of synthetic polymers [3]. Physical, chemical, and biological hydrogels are all possible. A change in environmental circumstances such as temperature, ionic concentration, pH, or other factors such as the mixing of two components can cause physical gels to transition from liquid to gel. When compared to other weak materials, chemical gels employ covalent bonding to provide mechanical integrity and degradation resistance. The gelation process in biochemical hydrogels is aided by biological agents such as enzymes and amino acids. [2] Hydrogels are utilized in a variety of applications. This is owing to their unique architectures and compatibility with a variety of operating situations. Hydrogels' flexibility, which is due to their water content, allows them to be used in a variety of environments ranging from industrial to biological, and the biocompatibility of the materials used to make them, as well as their chemical behavior in biological environments, which can be nontoxic, broadens their applications to the medical sciences. [2] pH-sensitive hydrogels, temperature-sensitive hydrogels, electro-sensitive hydrogels, and lightresponsive hydrogels are among the numerous kinds available for various purposes. The range of kinds makes it easier to use them in several applications. Strengths To avoid fast clearance by phagocytic cells, particle size and surface characteristics can be tweaked, allowing for both passive and active drug targeting. [4] Hydrogels are an excellent alternative for medication delivery because of their characteristics. Controlling two parameters, the degree of crosslinking in the matrix and the affinity of the hydrogel to the aqueous environment in which swelling occurs can result in high porosity hydrogel structures. Because of their porous architecture, hydrogels are extremely permeable to a variety of medicines, allowing them to be loaded and released under controlled settings [5]. The ability to release medicines for extended periods of time (sustainedrelease) is the major benefit derived from hydrogels in drug delivery studies, resulting in the administration of a high concentration of an active pharmaceutical material to a specific site for an extended length of time. [2] Improved treatment effectiveness and reduced adverse effects by controlled and prolonged medication release at the target location. Drug loading is quite high and may be accomplished without the use of chemicals; this is an essential aspect of maintaining drug activity. [4] Oral, pulmonary, nasal, parenteral, intra-ocular, and other modes of delivery are also possible. [4] Because of their high water content, hydrogels have a similar degree of elasticity to real tissue. They're biodegradable, biocompatible, and injectable. [6] Due to their small size, capillary veins can reach the tiniest capillaries and penetrate tissues through paracellular or transcellular routes. [4] Weaknesses
    Figure 2
    Figure 2: Polymeric nanoparticles for targeted drug delivery system for cancer therapy
    The primary drawback of hydrogel is that it is nonadherent and may require a secondary dressing to keep it in place. [6] Traditional medication delivery has certain disadvantages, such as higher circulating drug level volatility, more frequent dosage administration, increased gastrointestinal discomfort, and dose-related adverse effects. [6] Causes the maggots to move, causing the feeling. [6] Hydrogels are difficult to handle, have limited mechanical strength, and are costly. [6]
  3. Polymeric Nanoparticles
  4. Polymeric nanoparticles are made of polymers - macromolecules made up of different monomers which form a branched linear chain. In terms of their function and properties, selecting specific monomers results in specific and varying properties of the polymer overall. The customization of polymers could be achieved through chemical derivatization or directly on biopolymers. The process of creating polymers may also require surfactants - amphiphilic self-assembling organic molecules. Most of the surfactants used for this purpose are made up of a hydrocarbon chain that is bonded with an ionic functional group. Alternatively, polymers that have a low molecular weight could also be used as surfactants and are often found in the nanocarrier formulation as stabilizers in order to stabilize dispersion during nano-emulsion. One advantage of stabilizers is that they reduce the surface tension of nanoparticles, as well as increasing their ability to bond with lipid structures. Some surfactants have also contributed to the reduction of the diameter of nanoparticles. [7] Strengths Some studies have shown that there is increased retention of polymeric nanoparticles in the body and bloodstream, lower cardiovascular effects, and lower nephrotoxicity and hepatotoxicity. Another great potential of polymeric nanoparticles is that they hinder multidrug resistance moderated by the human ATP-binding cassette transporter superfamily. Some proteins such as P-gp/ABCB1, BCRP/ABCG2, and MRP2/ABCC2 are associated with the decreased efficacy of chemotherapeutic treatment, and nanoparticle drugs have shown potential to inhibit multidrug resistance in this case, which leads to more effective treatment. Gold-based nanoparticles have been used in cancer diagnosis for X-ray imaging since they have been shown to take up X-rays more effectively while maintaining low to no toxicity. Gadolinium polymeric particles are used as contrast agents in MRI imaging, also for diagnosing cancer. Many nanoparticle drug delivery systems are being researched today, and the ones approved for medical use at the moment include albumin-based nanoparticles, polymeric nanoparticles, liposomes, and inorganic nanoparticles, all of which have great potential. [7] Weaknesses The main weaknesses of polymeric nanoparticles arise from their limited shape, electromagnetic properties, chemistry, and their wide size distribution agglomeration state. These factors could potentially lead to poor oral bioavailability, poor tissue distribution, and instability during circulation. The way polymeric nanoparticles interact with living cells may also lead to some unwanted effects. Another issue is their uneven size during the production process. Even though they are mostly all spherical, the diameter of the nanoparticles produced could vary. However, this issue could be resolved by the use of particle replication in non-wetting templates (PRINT), which would ensure that all nanoparticles produced are the same size, and would permit their further customization. Other limitations of using polymeric nanoparticles come from their high production cost. There are not many materials available for their production despite them being extensively researched. The high costs of clinical trials for nanoparticle drugs are an obstacle to their research since this means that the pharmaceutical companies behind it suffered economic losses in many cases. This issue could be resolved by focusing more closely on specific conditions for which some nanoparticle drugs could be used, therefore limiting the scope of the research and potentially the cost of it as well. The manufacturing process of nanoparticle drugs also poses a complication that prevents their mass use, but there are some potential solutions to this such as using some already existing methods for their mass production. Meanwhile, new methods of production are still needed for some new nanoparticles such as polymersomes. Additionally, producing multifunctional nanoparticles requires more steps of production, which is another challenge that is yet to be overcome. [7]
  5. Carbon Nanotubes
  6. Figure 3
    Figure 3: Carbon nanotubes’ structure.
    Carbon has different allotropes (nanotubes, buckyballs, graphite, diamond, and more), due to its 4 valence electrons enabling it to form superstructures. Carbon Nanotubes (CNTs) are hollow, cylindrical tubes of a hexagonally tessellated lattice of covalent bonds between carbon atoms, as shown in figure 3 [8]. Covalent bonds are very strong because they need a lot of energy to break up. In this hexagonal lattice, more than 347 kJ of energy is required to break up every mole of C-C bond [9].
    Strengths Given that one requires more than 347 to break up a single C-C covalent bond, this ID superstructure of C-C covalent bonds is equipped with a high strengthto-weight ratio (high tensile strength whilst being lightweight). This high tensile strength statistically will lead to higher levels of durability, and this is shown in the application of CNTs to manufacture durable products such as bicycle frames. Applying the same level of durability will lead to more longlasting NDDSs. Lightweight properties will make it easier for mass manufacturing, increasing the availability of NDDSs made with CNTs to potential patients who may benefit from it the most. Their nanoscale enables easier cellular transportation due to their atomic size. They can be biosynthesized at the molecular level to make them more adaptable for a variety of biological applications such as acting as a viable material for NDDSs. In traditional high school biology classes, it is taught that a red blood cell is adapted to lose its nucleus to have a larger surface area to carry more hemoglobin, as it takes up the shape of a biconcave disk in doing so. This biological optimization in cellular transportation is akin to that of NDDSs that are made out of CNTs. This is actively demonstrated in the fact that their high surface are-to-volume ratio maximizes their capacity to store chemicals, allowing for optimized and efficient transportation of larger quantities of drugs per journey. Specific applications of CNTs to NDDSs include the simplicity of cellular acceptance, elevated drug insertions. These applications allow them to be particularly valuable for cancer therapy [10]. Weaknesses CNTs encompass poor solubility in aqueous solutions. Given that water is an exceedingly prevalent and necessary compound in all living organisms, CNTs' biocompatibility with water molecules will pose a risk on the grounds of toxicity. Moreover, its nanoscale means that less than 100 nm can make it easier for CNTs to easily escape from phagocytic defenses, as well as an act beyond its purpose to unnecessarily edit proteins by altering the DNA/ RNA base pairs. As a result, an inflammatory response is likely to be triggered. [10].

IV. Analysis

Hydrogels, polymeric nanoparticles, and carbon nanotubes all have characteristics that may be utilized to determine which nano-drug delivery method is optimal based on these properties. Sustained-release, administration methods, mechanical strength, customizability, retention, toxicity, biocompatibility, drug-carrying capabilities, and production cost are all factors to consider.
  1. Hydrogels
  2. Because of their properties, hydrogels are an ideal choice for drug administration. High porosity hydrogel structures may be achieved by controlling two parameters: the degree of cross-linking in the matrix and the affinity of the hydrogel for the aqueous environment in which swelling occurs. Hydrogels are very permeable to a range of medications due to their porous design, allowing them to be loaded and discharged under regulated conditions. The capacity of hydrogels in drug delivery studies to release medicines for extended periods (sustained-release) is the most significant benefit, resulting in the administration of a high concentration of an active pharmaceutical substance to a specific location for an extended period of time. [2] Because of their small size, they can penetrate tissues via paracellular or transcellular pathways and reach the smallest capillary capillaries. [4] They can be given in several ways, such as oral, pulmonary, nasal, parenteral, intra-ocular, and so on. [4] Hydrogels have a similar degree of flexibility to actual tissue due to their high water content. Last but not least, they're biodegradable, injectable, and biocompatible. [6] There are, however, certain drawbacks to using hydrogels to treat NDDS. The main disadvantage of hydrogel is that it is nonadherent, thus it may be necessary to use a secondary dressing to hold it in place. [6] Hydrogels are also difficult to handle, have little mechanical strength, and are expensive. [6] Overall, the benefits of hydrogels outweigh the drawbacks, making them a suitable material for the creation of NDDS.
  3. Polymeric Nanoparticles
  4. Polymeric nanoparticles are macromolecules whose properties will vary depending on which monomers they consist of. This allows for their great versatility and customization. An important advantage of polymeric nanoparticles is their increased retention, lower nephrotoxicity, and hepatotoxicity as well as fewer cardiovascular effects. They also have the potential to inhibit multidrug resistance inhibited by the human ATP binding Cassette, which has allowed for more efficient execution of chemotherapeutic treatment when combined with polymeric nanoparticle drugs, and they have been found useful in cancer diagnosis during MRI and X-ray imaging. However, they can have a limited shape, size, chemical, and electromagnetic properties which can lead to poor oral bioavailability and tissue distribution, alongside instability in circulation. The issue of their uneven size during production could be solved by the use of PRINT. Despite this, the production cost of polymeric nanoparticles remains too high for their wider use, which is arguably why they have not been researched to a greater extent [7].
  5. Carbon Nanotubes
  6. Carbon nanotubes are a feasible option if they are biosynthesized to assure full biocompatibility with the human body and its defense mechanisms. Nonetheless, due to its high tensile strength for added durability, lightweight properties for easier transportation and manufacturing, and high surface area for highly optimized drug-carrying capacities, it may prove to be the most effective material for NDDSs (assuming it achieves a high level of biocompatibility on average). Carbon Nanotubes are possibly the most effective material for Nanodrug Delivery Systems based on these criteria alone.
  7. Overall Properties
  8. Certain properties common to hydrogels, polymeric nanoparticles, and carbon nanotubes can be used to estimate which nano-drug delivery system is best based on these properties. They can be evaluated on their properties in terms of sustained release, administration routes, mechanical strength, customizability, retention, toxicity, biocompatibility, drug-carrying capacities, and production cost. All three of the nano-drug delivery systems discussed in this paper outperform traditional pharmaceuticals in terms of their biocompatibility and customizability. Hydrogels are proven to be the drug delivery system with the best-sustained release properties and the most versatility in terms of administration routes, which are for example a limitation of polymeric nanoparticles. However, polymeric nanoparticles have increased retention and lower toxicity when compared to hydrogels and carbon nanotubes. On the other hand, carbon nanotubes have a very high mechanical strength (which is an important limitation of hydrogels), are lightweight, and have very good drug-carrying capacities. In terms of cost, all of the nano-drug delivery systems above have very high manufacturing costs. Therefore, it is hard to determine which of these specific NDDSs is overall the most suitable one, and this should be determined based on what they would be used for in a specific situation.

V. Conclusion

We have analyzed the properties of the three nanodrug delivery systems’ materials and evaluated them to find the best material in terms of sustained release, administration routes, mechanical strength, customizability, retention, toxicity, biocompatibility, drug-carrying capacities, and production cost. In terms of biocompatibility and customizability, the three nano-drug delivery technologies addressed in this study surpass conventional medicines. Hydrogels have been shown to have the bestsustained release properties and the most versatility in terms of administration routes, which is a limitation of polymeric nanoparticles, for example. When compared to hydrogels and carbon nanotubes, polymeric nanoparticles exhibit higher retention and lower toxicity. Carbon nanotubes, on the other hand, have a high mechanical strength (which is a major drawback of hydrogels), are lightweight, and have an excellent drug-carrying capacity. All of the nanodrug delivery methods mentioned above have extremely high production costs. As a result, determining which of these specific NDDSs is the most suitable in general is difficult, and this should be chosen based on what they would be utilized for in a specific circumstance. As noticed from the analysis, every NDDS material is unique for a specific use. It will ultimately depend on the circumstance it will be used for and in. Therefore, determining which one is the “ultimate” material is, almost, an impossible task.

VI. References

Neuroblastoma: An Overview

Abstract Neurons are known to stay in G0 once they are mature. So, it isn’t expected for neurons to form tumors. But what if the cell starts to lose control during its differentiation process! The type of the tumor depends on the type and the location of the transformed cell. One of these tumors is neuroblastoma which infects from 700 to 800 humans in the United States annually. In that review, we will have a look at neuroblastoma. From the definition to the treatment passing by the causes, symptoms, clinical stages, and its different types, the various features that affect and are affected by the disease would be discussed.

I. Introduction

Neuroblastoma, which was first delineated within the 1800s, is the commonest cancer in babies and the third-most common cancer in children after leukemia and brain cancer. Around one in every 7,000 children is affected at some time; 90% of cases occur in children less than 5 years old, and it is rare in adults. Moreover, 15% of cancer deaths in children are due to neuroblastoma. Neuroblastoma (NB) is a type of cancer that originates in certain types of nerve tissue. It most often starts from the adrenal glands and then develops in the neck, chest, abdomen, or spine. Symptoms embrace bone pain, a lump within the abdomen, neck, or chest, or a painless bluish lump underneath the skin. Neuroblastoma happens because of a genetic mutation occurring throughout early development or because of a mutation inherited from a person's parents. However, environmental factors are found to be not involved. Diagnosis is based on a tissue biopsy, in which a small sample of the tissue is taken so it can be examined under a microscope. Sometimes, it may be found in a baby by ultrasound during pregnancy. During diagnosis, cancer has usually already spread. The cancer is assessed into low-, intermediate-, and high-risk groups based on a child's age, cancer stage, and what cancer looks like. Treatment depends on the severeness of the disease. It may include observation, surgery, radiation, chemotherapy, or stem cell transplantation. Low-risk disease in babies has good results with surgery or simple observation. However, in high-risk diseases, chances of long-term survival are less than 40%, despite aggressive treatment.

II. The Disease & Its Types

  1. Definition
  2. Neuroblastoma (NB): is cancer that originates in immature nerve cells(neuroblasts); it is the most common extracranial solid tumor of childhood. Neuroblastoma may be found in the adrenal gland and paraspinal nerve tissue from the neck to the pelvis [1].
  3. Clinical Stages
  4. In an attempt to determine if the disease started to proliferate or not and if so, to which level it has spread! The staging process was the solution for that. There are two systems: The International Neuroblastoma Staging System (INSS) and International Neuroblastoma Risk Group Staging System (INRGSS). In that review, the considered one is (INSS) which takes into account the results of surgery to remove the tumor, it has 4 stages as the following:
    • Stage 1: Cancer remains in its first location on one side of the body and it did not spread to the near lymph nodes, all visible tumor cells have been removed completely by surgery (although looking at the tumor’s edges under the microscope after surgery may show some cancer cells).
    • Stage 2A: The cancer is still in its original area and on one side of the body, near lymph nodes are free of the tumor but it cannot be removed completely using surgical ways.
    • Stage 2B: Cancer may or may not be completely removed and it has spread to the near lymph nodes on the same side but not on the other side or any other part of the body.
    • Stage 3: it does not proliferate to distant parts of the body. But, it has crossed the midline and cannot be removed completely, it has spread to the relatively near lymph nodes, or it starts in the middle and grows towards both sides of the body.
    • Stage 4: Cancer has spread to distant parts of the body such as distant lymph nodes, bones, liver, skin, bone marrow, or other organs.
    • Stage 4s: It is a special case when the child is younger than 1 year old, cancer spreads to the lymph nodes on the same side of the tumor only, the neuroblastoma has spread to the liver, skin, and/or the bone marrow. However, no more than 10% of marrow cells are cancer cells [2].
  5. Different Types of Neuroblastoma
  6. It is clear that clinical criteria are not always sufficient to predict disease outcomes, and the current international recommendation is that data regarding biological features should be collected on all patients so that new therapeutic groups can be defined. For example, genetic including diploid or tetraploid, MYCN amplification (oncogene), deletion of 11q and 1p chromosome and gain of chromosome arm 17q or the latter rearrangement, which can result from unbalanced translocation of 17q to more than 20 different chromosome regions. In addition, frequent loss of heterozygosity (LOH) has been reported for other chromosomal regions in neuroblastoma.
    Table 1
    Table 1: Histopathological Characteristic of 108 Neuroblastoma Tumors
    In an experiment to classify different types of the disease, Patients presented between October 1987 and December 1999 at any one of 11 United Kingdom and Republic of Ireland centers, with patient ages ranging from 1 month to 18 years. More than 80% of cases were diagnosed within the last 5 years of the study, from 1995 to 1999. Neuroblastoma diagnosis and staging were according to INSS the distribution of stages being as follows: stage 1 (11 patients), 2 (10 patients), 3 (18 patients), 4 (61 patients), and 4s (eight patients). Primary tumors from 108 patients were studied before therapy. Then, the following morphologic features were investigated: the amount of schwannian stroma, MKI (low, medium, and high being, 100, 100 to 200, and . 200 mitotic or karyorrhectic cells per 5,000 tumor cells, respectively), degree of differentiation based on presence or absence of neuropil, ganglionic differentiation (undifferentiated, poorly differentiated, or differentiating), and the presence or absence of calcification. Results of CD44 expression were already available for 35 patients and were detected immunohistochemically using the CD44 antibody. The genetic results detected by Fluorescence In Situ Hybridization (FISH) through the experiment showed different abnormalities through metaphase or interphase such as Chromosome 17q, 1p, and MYCN status was established in 73, 84, and 96 tumors, respectively, whereas 11q status was only established in 15 tumors. These results are numerically listed in table 1 below:-
    Table 2
    Table 2: Comparison Of Group 1 With Other Groups Combined in Regard Ploidy and Chromosomal Imbalances, Single Histologic Features and Histologic Risk Classifications, and Clinical Characteristics (N=92)
    As a result of the genetic abnormalities, if these three genetic alterations were assorted randomly, it would be possible to identify eight genetically distinct subgroups. However, 92 out of the 96 tumors that were unambiguously informative for all three genetic alterations fell into the following four groups: group 1, structurally normal chromosome 17, no 1p deletion, and no MYCN amplification (29 patients); group 2, 17q gain, no 1p deletion, and no MYCN amplification (24 patients); group 3, 17q gain, 1p deletion, and no MYCN amplification (12 patients); and group 4, 17q gain, 1p deletion, and MYCN amplification (27 patients). The four remaining tumors had the following combinations of abnormalities: no 17q gain, 1p deletion, and no MYCN amplification (one tumor); no 17q gain, 1p deletion, and MYCN amplification (two tumors); and 17q gain, no 1p deletion, and MYCN amplification (one tumor). 95% of all tumors in the series were included in the first four groups so the rest groups are neglected in the analysis. There can be a comparison between the first group and the groups from 2 to 4 in table 2.
    Table 3
    Table 3: Association Of Groups 2,3, and 4 With Ploidy and Chromosomal Imbalances, Single Histopathologic Features and Histopathologic Risk Classifications, and Clinical Characteristics (N=63)
    The comparison between the three groups from 2 to 4 is shown in table 3. From the analyzed data above, there are three types of neuroblastoma. Type 1: numerical changes and a triploid number of chromosomes. Such tumors have been distinguished previously as type 1 by Brodeur et al57 and by Maris and Matthay. Then, it was found that this group is also significantly associated with losses of whole chromosomes 4, 14, and 3, gains of chromosomes 17 and 7, low MKI, calcification (present in >50% of cases), positive CD44 expression, absence of undifferentiated cells, and INPC favorable histopathology. Patients are mainly infants with low-stage disease and with excellent survival rates. Type 2 (genetic groups 2 and 3; progressing) is distinguished from type 1 by having a large number of structural abnormalities, including frequent 11q deletion, INPC unfavorable histopathology, older age of patients, advanced stages of the disease, and poor prognosis.
    Figure 1
    Figure 1: Neuroblastoma characteristics based on genetic, morphologic, and clinical features.
    Type 3 (genetic group 4; rapidly progressing) is characterized by an absence of 11q deletion, few other deletions, negative CD44 expression, and absence of calcification. In addition, only tumors of this type exhibited an undifferentiated morphology. Median age at diagnosis was lower (2.3 years) and median PFS shorter (9 months) than in type 2 tumors. Because this group is defined by the presence of MYCN amplification and there are no further genetic features specific to this group, MYCN amplification is the most obvious candidate for the observed alteration in tumor morphology. The three types are summarized in fig1 [3].

III. The Symptoms

40% of Neuroblastoma patients who present with clinical symptoms are under 1 year of age, less than 5% with clinical symptoms are over the age of 10 years, and the rest are between 1 and 10 years old. [4] Neuroblastoma symptoms vary consistent with the tumor’s location and the stage of the disease. Most of the time, cancer has spread to other parts of the body by the time signs appear. Neuroblastoma within the abdomen, which is the commonest kind, may cause symptoms such as abdominal pain, a mass under the skin that may not tender when touched, loss of appetite, and Changes in bowel habits, such as diarrhea or constipation. [5] Neuroblastoma within the chest may cause symptoms such as wheezing, chest pain, trouble breathing (usually in young babies), and changes to the eyes, including drooping eyelids, unequal pupil size, and bulging eyes or dark circles below the eyes. [5] Other common symptoms include a bump or lump in the neck, chest, pelvis, or abdomen (belly), or several lumps just under the skin that may appear blue or purple (in infants). Fatigue, cough, and fever. Pale skin (which is a sign of anemia). Painful, bloated belly. Weakness, movement problems, or paralysis in the legs and feet. [6] Other symptoms of neuroblastoma may appear later as the disease progresses. They include high blood pressure and a fast heartbeat. Horner’s syndrome, which causes droopy eyelids, small pupils, and sweating on only one side of the face. Pain in the bones, back, or legs. Problems with balance, and movement. Shortness of breath. Uncontrollable eye movements or eyes that move around quickly. [6]

IV. Diagnosis

The current criteria for diagnosis and staging of neuroblastoma are based upon INSS ( The International Neuroblastoma Staging System), which was initially developed in 1986. The diagnosis of NB can be made by either characteristic histopathological evaluation of tumor tissue or by the presence of tumor cells in a bone marrow biopsy and elevated levels of urinary catecholamines (dopamine, vanillylmandelic acid, and homovanillic acid). [4] Specific requirements for staging include bilateral bone marrow biopsies, computed tomography of the body (excluding the head if not indicated), bone scan, and metaiodobenzylguanidine (mIBG) scintigraphy. Initial diagnostic testing should include CT or MRI (magnetic resonance imaging) to evaluate primary tumor size and the regional extent and to assess for distant spread to the neck, thorax, abdomen, or pelvic sites. Brain imaging is recommended only if clinically indicated by examination or neurologic symptoms. [7]

V. The Causes

Neuroblastoma occurs when immature nerve tissues (neuroblasts) grow continuously without any control. The cells become abnormal and continue dividing, forming a tumor. A genetic mutation (a change in the neuroblast’s genes) causes the cells to grow and divide uncontrollably. Scientists aren’t sure till now what causes the genetic mutation. [6] Children with a family history of neuroblastoma are more likely to develop this type of cancer. But in about 98% to 99% of the cases, neuroblastoma is not inherited. Children born with other birth defects may have a higher risk of developing neuroblastoma. [6] Environmental factors are concerned with the development of neuroblastoma (eg, paternal exposure to electromagnetic fields or prenatal exposure to alcohol, pesticides, or phenobarbital). However, none of these environmental factors has been confirmed in independent studies. [6] Neuroblastoma can also occur in patients affected with other neural crest disorders, such as Hirschsprung disease, neurofibromatosis type 1, and congenital central hypoventilation syndrome.[8] Genomic linkage studies have not found evidence of a link between Hirschprung disease and neuroblastoma development [8] . The co-occurrence of neuroblastoma and von Recklinghausen disease is of interest because both disorders are deviations of normal neural-crest cell development in the embryo [8]. It has been noticed the amplification of MYCN oncogene in approximately 20% of primary Neuroblastoma (NB) tumors, and its strong association with the presence of metastatic disease and poor prognosis [9]. These observations suggest that MYCN contributes to the clinically aggressive behavior of high-risk Neuroblastoma tumors, and laboratory studies support this hypothesis.[7] The level of expression of MYCN has been shown to directly correlate with the growth of NB cells in vitro as well as in vivo. A role for MYCN in NB pathogenesis is supported by studies demonstrating NB tumor development in transgenic mice with targeted expression of MYCN. [7]

VI. The Treatment

Figure 2
Figure 2: Stages of NB treatment
The treatment therapy is divided into three stages, which are induction, consolidation, and postconsolidation (maintenance). The treatment process, as shown in figure 2, consists of chemotherapy, surgical resection, radiation therapy, immunotherapy, and isotretinoin [16]. Moreover, this process lasts for approximately 18 months. First, during the induction stage, a neuroblastoma patient will receive 5–8 cycles of intensive chemotherapy including platinum, alkylating, and topoisomerase agents. Second, also during Induction, patients undergo stem cell collection. Stem cells are collected either by periphery or bone marrow harvesting process. The harvesting process can be either post cycle 2 of induction as in COG protocols or as harvested at the end of the eight induction cycles in rapid COJEC stem cells. Unfortunately, it is common for patients to have residual bone marrow disease at the same time as collecting the stem cell. Therefore, the COG analyzed the after-effects of infusing autologous stem cells whether with or without purging. mOREOVER, surgery is another important component of the HRNBL therapy process, but it is typically conducted at or near the end of induction chemotherapy. This timing is decided to maximize tumor shrinkage in an effort to minimize surgical morbidity. Third, the consolidation phase comes after the induction with the goal to eliminate the remaining minimal disease. The consolidation process is divided into two parts which are: high dose chemotherapy followed by autologous stem cell transplant (ASCT) and radiation therapy [10].
Radiation therapy is only conducted once the patient has recovered from ASCT and is associated with a high rate of local control. The typical and standard amount of radiation administered is 21 Gy to the primary tumor, as well as radiation to end-induction sites of metastatic disease. High-risk neuroblastoma needs intensive multimodality treatment to achieve the current survival rate of slightly less than 50%. Continued understanding of the science of neuroblastoma will help to find factors that change the outcomes of patients within this group, in particular identifying high–risk neuroblastoma patients. Current research is focusing on further intensification of therapy to improve outcomes and evaluating the role of precision medicine in this patient population [10].

VII. The Treatment

Table 4
Table 4: Comparison of the clinical characteristics between patients with and without brain metastasis.
There can be some confusion between neuroblastoma and brain cancer. But as is shown above, the origin of neuroblastoma is extracranial. So, what about brain cancer?! Like any tumor, it is an uncontrolled division for abnormal or transformed cells. Brain tumors can be benign or malignant. Brain tumors can be classified into two main categories: primary and secondary. The primary brain tumor originates in the brain itself and its type depends on the class of the transformed cell. The secondary tumor category starts in other parts of the body and spreads to the brain so it is known as a metastatic brain tumor. The secondary tumor of the brain is a signal for another cancer in the body. Here, we can find a relation between neuroblastoma and brain tumors. In an experiment, the clinical data of eligible patients with stage 4 neuroblastoma who were treated at the Department of Pediatric Oncology in SYSUCC between January 2004 and May 2013 were collected. The criteria for these cases was the clinical stage of the tumor is 4 and the age (less than 18 years old) without brain metastasis at the initial diagnosis, to achieve complete response (CR) or partial response (PR) or had stable disease (SD) at the primary sites after multidisciplinary treatment according to the International Neuroblastoma Response Criteria and finally, the first spread to the brain occurred after the achievement of CR, PR or SD. Of the 106 children, 81 (76.4%) achieved CR, PR, or SD after multidisciplinary treatments. Twelve patients with CR received ASCT. After the completion of multidisciplinary treatment, all patients underwent maintenance therapy and were therefore followed up. The 5-year OS rate in patients who achieved the first CR or good PR was 45.9%. Of the 81 patients, 55 developed disease relapse and progression, including 11 patients who developed brain metastasis (Table 4). Of the 11 patients with CNS metastasis, 3 died at 1, 18, and 30 days, respectively, after giving up treatment; 8 received salvage therapy as shown in Table 4.
Table 5
Table 5: Treatment strategies and outcomes of 8 patients with brain metastasis.
Of the 8 patients who were treated with salvage chemotherapy, 2 patients with MYCN amplification died: 1 died 3 months after the time of the detection of brain metastasis (The median interval from the initial diagnosis to the development of brain metastasis was 18 months (range 6–32 months).), and 1 died 10 months after the detection of brain metastasis; of the 5 patients without MYCN amplification, 3 were still alive at the last follow-up, and 2 died. One patient with unknown MYCN status died (Table 5). Patient 5 received radiotherapy 2 months after surgery. Patient 4 received radiotherapy 20 days after surgery. (Not mentioned in table) After a median follow-up time of 24 months, 8 of the 11 patients died from tumor progression. The remaining 3 patients were alive for 29, 30, and 47 months, respectively, after the initiation of multidisciplinary therapy. The median OS was 25 months (range 9–47 months) for the 11 patients. The median interval from the initial diagnosis to the development of brain metastasis was 18 months (range 6–32 months). The median survival after the development of metastases in the CNS was 4 months (range 1 day to 29 months).
Of the 106 patients, 11 (10.4%) developed brain metastasis, accounting for 20.0% of 55 patients with relapse or progression. The cooperative clinical trials in advanced countries have shown that the overall incidence of CNS metastasis increased from 1.7% to 11.7% in patients who were treated with protocols from N4-N5 to N6-N7 and had prolonged survival. From this data, it is concluded that brain metastasis for neuroblastoma patients isn’t very common. But on its occurrence, it results in a poor prognosis [11].

VIII. Conclusion

Although humans have reached a high level of progress in neuroscience and other different biological sciences, till now they could not solve some mysteries in them such as Neuroblastoma. We do know the disease, its symptoms, its stages, how to diagnose it, and even the most susceptible age group to it. But we do not know for sure what causes the gene mutation that leads to this disease or how to prevent being infected by it. Even the used treatment methods are just the traditional ones used for any other similar cancer diseases. And that means only one thing, what humans have achieved from progress in all fields of science is not enough, and there are always more and more things to reach and discover. So never give up on learning more, and applying what you have learned, so you could discover new things and reach a new status no one has reached before.

IX. References

Life On Mars: Detection, Habitability, and Biosignatures

Abstract Astrobiology is the study of life outside Earth. The quest for life beyond the earth requires an understanding of life and the nature of its supportive environments, as well as of the planetary and stellar processes. One of the first steps in searching for life outside Earth is to find an exoplanet that presents a supportive environment for all sides of life by various methods. When such a planet is detected, the scientific challenge is to determine how it can accommodate life through the great distances of interstellar space. Scientists evaluated and restricted the conditions of habitability at each of these stages in their research on Mars' terrestrial analogues, surface geochemistry, and the likelihood of organic and inorganic biosignature conservation. Studying these analog environments provides crucial information for a better knowledge of past and current mission results, as well as for the design, selection, and planning of future Mars exploration missions.

Keywords: Habitable zones, Mars, Life, Earth, Microorganisms, Habitability, Detection, Biosignatures

I. Introduction

When we hear the term Astrobiology the first thing that comes to our minds is space and extraterrestrial life; however, astrobiology is a scientific field that not only discusses extraterrestrial life but also focuses on the environmental factors that enabled life on Earth. The Universe contains an infinite number of planets; nevertheless, not all of them are habitable. Scientists refer to the area in which a planet lies and contain the factors necessary for life (like water and suitable temperature) as habitable zone. Habitable zones differ from a star to another due to several factors like stars’ sizes. Mars is inevitable when discussing astrobiology and extraterrestrial life. Mars, being the closest to Earth, was the first place that scientists looked for life. However, Mars isn’t a perfect planet and many obstacles faced scientists, the main are the absence of oxygen (due to its thin atmosphere), absence of liquid water and the wide temperature range. The focus of searching for life was in our solar system; however, there are many planets that lay beyond our solar system that can be habitable, these planets are called exoplanets. Detecting exoplanets has been a challenge to scientists because of their distance from Earth. Several methods for detecting exoplanets, the most important of which are radical velocity and transit methods, have been developed, and they all rely on AI. But how to predict life on a distant planet without visiting it? To address this problem scientists, use scientific models.

i. Factors that allowed life to emerge on Earth:

Many factors allowed life to emerge on Earth among them are water, atmosphere, ozone layer, location in the universe, magnetosphere, the moon, distance from the sun, and temperature. We will explain two of these factors in detail. 1) Water: Water is the second most abundant molecule in space. Water ice is widely distributed in space and can be observed by many telescopes. Distant galaxies have water proving that water was already present in the early universe. Our solar system is rich in water in different places and forms such as: in the poles of telluric planets (e.g. Earth and Mars) or small celestial bodies like comets (contain a significant fraction of water). In addition, liquid water oceans may be present under ice crusts of several moons of outer planets (e.g. Jupiter & Saturn). [1] There are multiple hypotheses for the origin of water on Earth including planetary cooling (when the planet cools, the outgassed components were trapped in an atmosphere of adequate pressure to condense them into liquid water); extraplanetary resources such as asteroids, comets, and water-rich meteoroids; leakage of water stored in hydrate minerals, and volcanic activity (water vapor resulted from eruption condenses and turn to rain). [2] 2) Atmosphere: The atmosphere is one of the most important factors that allowed life to emerge on Earth. Its main importance is the presence of oxygen which is crucial for all kinds of living organisms. Other importance of Earth’s atmosphere includes: blocking some of the Sun’s harmful radiations such as ultraviolet rays (which is done by the ozone layer); moderating Earth’s temperature and weather; maintaining the water cycle (when water evaporates, it condenses in the atmosphere) and burning down asteroids thus reducing their impact when hitting Earth’s surface. Most scientists describe 3 phases in the evolution of Earth’s atmosphere:

  • 1st phase: Earth’s original atmosphere isn’t like today’s atmosphere. It was probably just hydrogen and helium and it was extremely hot with hydrogen and helium molecules moving too fast. Their speed made them escape Earth’s gravity and drop to space.
  • 2nd phase: Earth’s second atmosphere was originated from Earth itself; it came from volcanoes. The volcanoes released water vapor (H2O), carbon dioxide (CO2), and ammonia (NH3).
  • 3rd phase: most of the CO2 dissolved in the oceans. A simple form of bacteria developed so that it could live in water on Sun and CO2 and produce oxygen as waste material. Meanwhile, the ammonia molecules were broken by sunlight into nitrogen and hydrogen. This hydrogen, due to its low density, rose to the top of the atmosphere and dropped into space leaving today’s known atmosphere that primarily contains nitrogen, oxygen, and carbon dioxide. [3]

II. Habitability of Mars

Figure 1
Figure 1:Different habitable zones of stars that have different stellar temperature.
At the end of the 20th century, scientists have used the term “stellar habitable zone” to identify which planets are mostly habitable [4]. It simply states that any planetary surface that can allow the exitance of liquid water is habitable according to the distance from a star and the atmospheric pressure [4][5]. Each habitable zone differs from one star to another according to the star’s mass and temperature [5]. For example, if a star has a massive mass and high stellar effective temperature, its habitable zone will mostly be located farther out from the star, and if a star has a small mass and low stellar effective temperature, its habitable zone will be closer to the star as shown in fig (1) [5] .

𝑃 = 𝜎 ∗ 𝐴 𝑇4 , where 𝑃 is the power emitted from the star and 𝜎 is Stefan–Boltzmann constant [6]. If the power emitted from the star, which the planet absorbs, is assumed to be equal to the emitted power of the planet, this assumption gives: 𝜎4𝜋𝑅𝑠2 ∗ 𝑇𝑠4 ∗ (𝜋𝑅𝑝2/4𝜋𝑑2) = 𝜎4𝜋𝑅𝑝2 ∗ 𝑇𝑝4 (𝜋𝑅𝑝2/4𝜋𝑑2) is the radiated power from the star over a spherical area (4𝜋𝑑2) that is absorbed by the crosssection area of the planet (𝜋𝑅𝑝2) [6] . After simplifying the previous equation, the temperature of the planet can be calculated by the following equation: 𝑇𝑝 = 𝑇𝑠 ∗ (𝑅𝑠/2𝑑)0.5 Our sun’s habitable zone has been estimated to be 0.5 AU as close to the sun and 3 AU as far from the sun [6]. this was calculated by using the sun’s radius and temperature. In this range of the habitable zone, Mars (1.52 AU away from the sun) and Venus (0.72 AU away from the sun) are considered to be located at a very optimistic position [6]. However, by using a range of water temperatures (from 373K to 273K), the habitable zone was reduced to approximately 0.52 AU to 1.04 AU, where Mars is not included [6].

III. From Earth to Mars

One source of life on Mars could be Earth. It's far feasible that sun winds placing, ejecting, and propelling microbe-laden dust and particles in the stratosphere and mesosphere, and microbes residing in rock ricocheted into space from Earth with the aid of meteor strikes, have again and again infected Mars and distinctive planets and the opposite is correct. Moreover, due to tropical storms, monsoons, or even seasonal upwellings of columns of air, microbes, spores, fungi, (at the side of the water, methane, and different gases) may be transported to the stratosphere and mesosphere wherein they may continue. As it was proposed, solar winds and photons must disperse place-borne organisms during the cosmos. consequently, it may be really assumed that microbes not handiest flourish in the troposphere, however, while lofted into the stratosphere and mesosphere many continue to be feasible and may then be blown into space by means of effective sun wind in which they can stay. Even although innumerable meteorites collapse upon striking Earth's top atmosphere, those at the least ten kilometers across will punch a hollow within the surroundings and hold their descent. at the same time as meteors this duration or massive strike the ground, tons of dirt, rocks, (microbes, fungi, algae, and lichens can be, too), and other debris may be propelled over 100 km above the planet and ejected into space [7].

i. Life on Mars

Spacecraft that landed or crashed on Mars could also transfer life from Earth to Mars. for example, after sterilization, between 300 to 540 different colonies (typically) alongside thousands of organisms, including fungi, vegetative microorganisms, Bacillus, and coccigram-positive, and microorganisms of the genus Streptococcus and Corynebacterium Brevibacterium survived the outer space of Mars Vikings Landers and another spacecraft. of non-cultivated species, and the abundance of germs and fungi even growing inside the equipment, the number of survivors is unknown. Bacilli are still reproductive and tolerate long-term exposure to deep radiation in areas like Mars. Many species of Micrococcus have also escaped extinction by living sterilized and living on the Earth's crust, simultaneously with several traces of staphylococcus and Corynebacterium, tolerating similar conditions (Corynebacterium) created by Martian habitats and cannot be eliminated from space. Streptococcus maybe a few other species that oppose NASA's sterilization efforts and remained active after 30 months. As a result, microorganisms could have been present in all shipments to Mars. For instance, because it was detected using NASA's Ultraviolet Imager aboard polar spacecraft, a magnetosphere explosion was caused by coronal mass ejection (CME) sequences and strong solar rays. As a result, polar regions had enough pressure to push oxygen, helium, hydrogen, and other gases from the Earth's surface into the atmosphere. typically, the weight is around or three nano pascals. while CME hit, it jumped into 10nano pascals. therefore, it is expected that other nutrients in the air, mold, moss, and algae have arrived at Mars to replicate themselves.

ii. Microorganisms on Mars

Many researchers have found that the proliferation of species, including microorganisms, algae, mold, and mildew can continue to exist in an artificial environment such as Mars. these survival rates increase when supplied with water or protected by rock, sand, or gravel. It was discovered that the Bacillus subtilis survived conditions of UV irradiation performed by Martian, while it is suggested that cyanobacteria collected on cold and warm islands survived “conditions like Mars including atmospheric composition, gravity, changing humidity (full and dry conditions) and strong UV rays.” It has been reported that six subspecies of the genus Carnobacterium collected in a permafrost building in northeastern Siberia - considered analogs of the Mars underground and nine additional species of Carnobacterium were present all capable of thriving and growing under conditions like Mars. In another case, four types of methanogens (Methanosarcina barkeri, Methanococcus maripaludis, Methanothermobacter wolfeii, Methanobacterium formalism) survived exposing low-pressure conditions. Cyanobacteria are also tolerant of Mars conditions. Akinetes exposed (dormant cells are formed by filamentous cyanobacteria) in outdoor conditions, including demolition periods, extreme temperatures (-80 to 80 ° C), and UV rays (325-400 nm), and showed high levels of efficiency in these places like Mars. Eukaryotes (fungi, moss) are also survivors. it was reported that microcolonial fungi, Knufia perforans and Cryomyces antarcticus, and Exophiala jeanelmei (a type of black yeast), survived, designed, and showed no evidence of subsequent stress prolonged exposure to conditions such as thermo-physical Mars. After developing the dried colonies of Antarctic cryptoendolithic black fungus Cryomyces antarcticus and exposure 16 months mimicking scenarios like Mars on Earth's space station determined that "C.C. The antarcticus was able to tolerate the combined stress of external variability substrates, space, and conditions such as Mars Survival, DNA, and structural stability. Martian world radiation is rated at "0.67 millisieverts a day”. This is much lower and deeper under radiation tolerance levels of various prokaryotes and simple eukaryotes, including resistant fungi radiation, doses up to 1.7 × 104Gy. Fungus, moss, and many microbes are species they are attracted to and thrive in highly radioactive environments. Mold and radiation tolerance bacteria will seek out and grow in radiation sources that act as a source of energy of metabolism. Or their DNA is damaged by radiation levels in addition to their tolerance levels, and they can easily fix these genes due to the genes with repair functions [7].

iii. Lichens

Figure 2
Figure 2: Terrestrial Lichens, Ranging from 2 mm to 6 mm in size.
Lichens are consisting of a symbiotic relationship involving algae/cyanobacteria and fungi, the latter of which is responsible for the lichens' thallus, mushroom shape, and fruiting bodies. The specimens were observed on Mars andidentified by experts as lichens closely resemble Diabetes baeomyces, a fruticose lichen belonging to the Icmadophilaceae family characterized by stalks that may grow to 6 mm. Dibaeis baeomyces have been found growing on rocks, in the desert sand, dry clay, and in the arctic [7]. Scientists took photos on Mars that might be lichens, as shown in figure 3 and made a comparison between these photos and the others on Earth, as shown in figure 2.
Figure 3
Figure 3 : Most experts agreed these may be lichens. The average size of these lichen-like specimens is estimated to be 2 mm to 7 mm and are like terrestrial lichens. However, if these are living organisms, or unusual sediments fashioned by the alien environment of Mars is unknown [7].
The compact morphological structure of C. gyrosa (kind of lichens), together with its thick cortex and cortex acts as an endogenous protective defend against UV radiation. The presence of solarscreening pigments in diverse lichen species is set up amongst those dwelling in Arctic habitats and excessive mountain regions. For example, the cortex protects R. geographicum from the harsh environmental characteristics of high mountain areas whilst meteors strike Earth's atmosphere, they may be subjected to extremely high temperatures for only some seconds. If of sufficient length, the interior of the meteor will stay surprisingly cool. The interior may also never be heated above 100°C while spores can live to temperatures of over 250°C. Mars has a very thin atmosphere. consequently, many species of microbe have developed the ability to survive a violent hypervelocity effect and excessive acceleration and ejection into space, the frigid temperatures and vacuum of an interstellar environment, the UV rays, cosmic rays, gamma rays, and ionizing radiation they could stumble upon, and the descent via the surroundings and the crash touchdown onto the surface of a planet [7] .

iv. BIOMEX experiments

To do some BIOMEX experiments, many preflight checks had been completed to figure whether the chosen samples are able to face up to severe conditions close to space and Martian environments. After a group of experiments on Mars-like regolith and desiccation exams, the organisms were exposed to experiment Verification exams (EVTs) and medical Verification exams (SVTs). Among (EVTs) exams, vacuum, low-strain Mars-like CO2 surroundings, extreme temperature cycles from ways under zero to more than 40C, and UVC irradiation were applied. The (SVTs) experiments had been conducted inner hardware with conditions that approached the ones of the gap surroundings at the ISS. The results explained that the lichen C. gyrosa exhibits high resistance and survival capacity. Neither Martian atmosphere and surface UV climate combinations nor LEO vacuum conditions induce a significant decrease in the activity of lichen after exposure for 120 h. It is important to emphasize that in our experiment the lichen thalli were exposed to simulated Mars and real space conditions. Many the chosen archaea, bacteria, and heterogenic multilayered biofilms formed via many species had been observed to be the most resistant to simulated or direct space and Mars-like conditions. Less resistance and a considerably lower cellular number and power regarding the Mars-like surroundings were proven for multicellular lifestyles-forms inclusive of the examined fungus Cryomyces antarcticus and the lichens Buellia frigida and Circinaria gyrosa as some studies show that the test lichen survived the 30-day incubation in the Mars chamber particularly under niche conditions [8]. However, the photobiont was not able to photosynthesize under the Mars-like conditions, which indicatesthat the surface of Mars is not a habitable place for C. gyrosa [10] . From my point of view, the photos that were taken were just sediments, were not lichens. The Results so far indicate that present Mars seems to be habitable for archaea and bacteria over longer timescales [9].

IV. Machine learning methods

About 4600 million years ago our solar system was formed. We know this from the study of meteorites and radioactivity. But you have ever contemplated a question, "Are we alone?" Or "Is there life beyond the earth?", This is the topic of exoplanets which are planets beyond our solar system, these planets come in a wide variety of sizes and orbits. Some are ginormous planets, some are rocky, some are icy and hugging close to their stars. But how do scientists detect whether there are exoplanets? It's not a simple task to detect exoplanets. We may have imagined life in books and films on other planets for centuries, but it has been a recent phenomenon to detect actual exoplanets. Planets emit very little or no light on their own so subsection I details methods for detecting exoplanets. While subsection II analyzes the advantages and drawbacks of each of these methods [11].

i. Exoplanets detection methods

Artificial intelligence (AI) and advanced vision technologies are being used to strengthen instrument capabilities and expand possibilities for detecting exoplanets.[12] Since then, different methods have been derived to detect exoplanets, with the two most prolific radial velocity and transit methods. Other methods like direct imagery, timing and gravity are not as prevalent, but have unique advantages and play an important role in searching for exoplanets. [13]

ii. The Radial Velocity Method

Figure 4
Figure 4: Radial Velocity
The radial velocity (Doppler spectroscopy) method was one of the first methods of discovering exoplanets, with scientists using it to discover a large number of planets since 1988. It searches for exoplanets by using stellar wobble, or the small orbit of a star around its star-planet center of mass. The visible light emitted by a star is split up into a rainbow by astronomers. This is referred to as the star's spectra, and the gaps between the normally smooth bands of light aid in determining the elements that comprise the star. However, if a planet orbits the star, the star wobbles back and forth slightly. As the star wobbles slightly away and toward us, the lines in the spectra will shift slightly towards the blue and red ends of the spectrum. This is caused by the blue and red shifts of the planet's light (FIG 4) [14].
This wobble, though very small, can be measured as a variation in radial velocity by modern spectrometers such as the European Southern Observatory's (ESO) High Accuracy Radial Velocity Planet Searcher (HARPS) spectrometer at the La Silla Observatory in Chile, which has observed more than 451 wobbles during its Guaranteed Time Observations (GTO) planet search program. Scientists can determine the velocity of the star v* and the period of the orbit T by observing this wobble. With an estimate of the star's mass M* by spectral type and the inclination of the orbit j(orbit) by stellar photospheric absorption lines, the star's velocity can be expressed as follows:
Equation 1
where M(p) denotes the planet's mass and a denotes the radius of an assumed circular orbit. Kepler's third law of planetary motion also provides the period:
Equation 2
where the mass of the system M(sys) = M* + M(p). The orbit radius of the planet is unknown, but can be solved for by combining Equation 1 and Equation 2:
Equation 3
As a result, scientists can determine the mass of an orbiting planet indirectly. Scientists have had great success detecting planets using the radial velocity method, especially when the planet's mass was large in comparison to the mass of the star, causing an easily detectable stellar wobble. This method, however, has limitations. Because stellar wobbles are typically small, radial velocities are difficult to observe at great distances and are thus only used to study nearby stars. Furthermore, false signals are common when observing multi-planet and multistellar systems where the system's center of mass is unknown and long, continuous observations are required to distinguish stellar bodies. Despite these difficulties, the radial velocity method remained the most common method of detecting exoplanets until 2014, when it was surpassed by transit photometry method [15].

iii. Transit method

Figure 5
Figure 5: transit method
The transit method has now surpassed radial velocity searching in several new planets since it was first used in the mid-2000s[16]. Planets don't emit light, but host stars they orbit do. Taking this into consideration, NASA scientists conceived the Transit method, in which a digital-camera-like technology is used to detect and measure tiny dips in a star's brightness as a planet crosses in front of a host star, the light from the star dips very slightly in brightness. By detecting these incredibly tiny dips in brightness, scientists can confirm that a planet exists as shown in figure 5. By observations astronomers can calculate the ratio of a planet's radius thereto of its star.
(Todo!!!!!!!!!!!!!!!!!!!!!) Figure 3 planet Radii in the Habitable Zone
Equation 4
By changing the stellar flow F* and estimating the stellar radius R* of other measurements, the radius of the planet Rp can be determined [17] 2002.
Equation 5
Over multiple observations, the period T can also be observed, which enable us to estimate the radius of planetary orbit using the third law of Kepler:
Although transit photometry has been extremely successful in discovering large numbers of exoplanets through missions, such as the Kepler mission, which identified three hundred forty planetary systems with 851 planets that were validated for more than 99%, it still has limits. Whilst transit surveys can scan large areas of the sky that contain thousands of stars at once, they can only observe planets that intersect astronomer and star perfectly, thus lacking many stellar systems which could contain planets of interest. False positives are also common when small variations in stellar brightness occur due to natural phenomenon such as pulsations of red giant branch stars, and studies have found that up to 35% of transit candidates turn out to be false-positives [18]. On balance, the transit photometry method has been used effectively in missions with the 2005 Spitzer Space. Also, there are other opinion says that the instruments required for this minor blip seem to be very susceptible. You can see how difficult it is to detect a planet from lightyears away if you can imagine the dip in light from a massive searchlight when it crosses a small ant. Another drawback of the transit method is the fact that the distant solar system must be in a preferable angle to our own Earth perspective, If the angle of the distant system is only slightly askew, no transits will happen! [19]

iv. Planetary detection Less prolific methods

Other methods for detecting exoplanets, in addition to radial velocity and transit photometry, including direct imaging, timing, and gravitational microlensing. In direct imaging, scientists use infrared imaging to examine the thermal radiation of exoplanets. Typically, we can only observe large, hot planets both close to and far from their stars, and imaging Earth-like planets necessitates high levels of optothermal stability. Timing methods take advantage of niche properties of certain exoplanets and can involve pulsars (neutron stars) that emit radio waves on a regular basis, changes in eclipsing binary minima that detect planets far from their host star [20], and transit timing variations caused by interplanetary gravitational pull [21], this method is also limited in applicability since so few exoplanets acquire those characteristics. Finally, gravitational microlensing examines the marginal effect of a planet on the gravitational lens behind a star. When a foreground star is between the observer and the source star, the foreground star magnifies the light from the source star, which allows the planet to make an observable contribution to the lens. This method is actually more susceptible to the detection of large orbital exoplanets and is most effective for planets between the Earth and the center of the galaxy where many background stars occur, but the required gravity alignment is rare and cannot be repeated. Though these detection methods are more specialized and are not applicable to as many stars, they can give highdetailed data compared to the methods of radial velo city and transit photometry.

v. Analysis and Comparison of Methods

Figure 6
Figure 6 Radial velocity and transit exoplanetary discoveries by year through 2017. Radial velocity, blue; transit photometry, red. In 2014, the number of planets observed by transit photometry surpassed the number of planets observed by radial velocity. Figure created using exoplanets.org.
Each detection method uses different concepts of astronomy to deduce the characteristics of exoplanets. Whilst the most proficient methods to date have been radial velocity and transit photometry (FIG. 6), other methods have also been important in the search for a habitable planet (TABLE I). The radial velocity method is extremely versatile and applicable to a wide range of planets, though they must be close to the observer. The transit photometry method has observed a large number of stars, but it has a high false positive rate. direct imaging though only applicable to a small number of stars, reveals explicit, unequivocal evidence of exoplanets. Timing methods are similarly limited in their applicability, but they can provide accurate data for planets that are extremely distant. Planets with large orbital radii can be detected using gravitational microlensing, but measurement alignments are unlikely and cannot be repeated. In terms of observed properties, the transit photometry method provides the radius of an observed planet. Though all methods can be used independently, more than one technique is used to collect multifaceted data on planets of interest in the most accurate searches. The radial velocity and transit methods used on the same star can for determine mass and radius, yielding density that indicates the composition and habitability of that planet; and the transit timing can be used to validate exoplanets found through the transit photometry method in multi-planetary systems. Discovering a planet with one method can often make it easier to observe its other properties with another. [22]
table 1
TABLE 1. Measurements, advantages, drawbacks, best cases, and instrumentation for the radial velocity, transit photometry, direct imaging, timing, and gravitational microlensing methods of detecting exoplanets. M(p), mass of planet; R(p), radius of planet; T, period of orbit; a, length of semi-major axis of orbit.

V. Exoplanet Hunting: Using Machine Learning to Predict Planetary Atmospheric Chemical Reaction Rates

Figure 7
Figure 7 : Elements in data set [ P. B. Rimmer and S. Rugheimer, "Hydrogen cyanide in nitrogen-rich atmospheres of rocky exoplanets," Icarus , vol. 329, pp. 124-131, Sep. 2019.]
We have known that thousands of exoplanets could host life, But the skeptic in us says “How can we make predictions about exoplanets?” Or “How can we know that these exoplanets can host life without being able to visit them or having such a limited information about them?” The answer is scientific models. Scientists use models to interpret data and explain what kinds of conditions might exist on planets that could explain their observations. Atmospheres are important potentially observable features of exoplanets, so atmospheric models are one of the most important types of models for exoplanets. Their composition can reveal biological activity as well as information about other planetary processes and events. Exoplanetary atmosphere models will aid in understanding of observations. However, these models are heavily reliant on input parameters such as reaction rate constants or how fast species react. Unfortunately, databases of such rate constants are insufficient and only contain information for a limited set of reactions that have been studied in isolation in laboratories. These known reaction rates may not be sufficient to accurately model planetary atmospheres containing reactions with unknown rate constants or that are impractical to measure in the lab. To address this problem, Scientists applied a series of machine learning techniques to STAND-2019, an atmospheric chemical network detailed in Rimmer et. al, 2019, to explore how well machine learning can predict reaction rate this is not a substitute for actual data, but these forecast or estimated constants could help scientists to see more in the right direction. First, they use known reaction rates (FIG 7) and then feed those into an algorithm to predict reaction rates using an atmospheric chemical reaction dataset called STAND-2019, and because the model is highly dependent on the type of data given to it, it will be better at predicting things it has seen before. By determining what is in the dataset on which the algorithm is based, there are approximately six thousand reactions and 11 different types of elements, as shown in (FIG 8) As a result, the dataset is skewed heavily toward hydrogen, carbon, and nitrogen. It also includes reactants, products, variables for calculating the rate constant, and reaction flags that indicate the type of reaction. [23]
Figure 8
Figure 8: Chemical reaction rates they know
Figure 9
Figure 9 Decision Tree Algorithm [ P. B. Rimmer and S. Rugheimer, "Hydrogen cyanide in nitrogen-rich atmospheres of rocky exoplanets," Icarus , vol. 329, pp. 124-131, Sep. 2019.]
Following that, they add useful features to the data, such as information about each reaction gleaned from chemistry knowledge. After creating features for the dataset such as reaction mass, number of species involved, and type of species involved, all of them are converted to numbers so that the algorithm can read them and use them to make predictions. But how are these features used? As a result, the entire dataset is divided into two parts: a training set (which is typically larger) and a testing set (which is smaller). In the training set, the algorithm sees both features and constants; in the testing set, the algorithm only sees features and then predicts constants based on those features. But how does this help with predicting? Scientists used the decision tree algorithm, which is part of the supervised learning algorithm family, to accomplish this. The decision tree algorithm, unlike other supervised learning algorithms, can also be used to solve regression and classification problems. The goal of using a Decision Tree is to build a training model that can predict the class or value of the target variable by learning simple decision rules from prior data (training data). As a result, it divides the data into more machine-readable sections, such as is this column less than or equal to this value. Because the values and splits are chosen at random, this algorithm performs well. The algorithm generates many of these trees using the training set, then runs the testing set through all these trees and averages the values from each tree to create the final prediction (FIG 9) [24]. Using this method can lead scientists to preliminary results, which show that the algorithm works better than using the mean of the data to predict rate constants(TABLE 2), but there is still room for improvement. [25]
Table 2
Table 2: To measure how good are their prediction

A Machine Learning Approach to Forecasting Weather on Mars

After all that, does this mean that Mars is unhabitable? A destructive Cosmic event could at any given moment completely erase all life on Earth. Extinction may be inevitable as well as pressure on earth's biosphere. Going beyond our domain, far beyond the sun and the Earth's planet, Mars can be a means of reducing the risk of human extinction. Despite this high goal, hostile Martian weather conditions vary considerably from those on earth and it would be inestimable for successful colonization to predict these conditions. In particular, the extremely wide temperature range (20°C to -73°C) is a significant barrier to implementing human infrastructure. Traditional weather prediction techniques used on Earth, such as numerical weather prediction (NWP), are extremely computationally intensive and, due to the volatile physical conditions of the Earth's atmosphere, are not always stable. Beyond that, NWP cannot be easily applied to forecast Martian weather. To overcome this barrier, supervised machine learning—a method resistant to an incongruity of atmospheric conditions that leads to uncertainties of NWP—is ideal for the Martian atmosphere, which is even less understood. The Mars' Gale Crater weather data has been collected and available via their Planetary Data System by a NASA Curiosity Rover. To predict a mean temperature using Curiosity's data two types of machine learning algorithms will be implemented: linear regression and artificial neural networks. These paradigms have been selected due to the ability of each to take into account the mixture of nonlinear and linear weather reactions. The weather data will be used in the two models of ~3 Mars years to predict ~1 year of test data. The medium and medium absolute errors are calculated, and the models are compared. for the mean temperature prediction [7]. In conclusion, not all planetary surfaces in the habitable zone have a hospitable environment, and there might be worlds outside the habitable zone that could have a hospitable environment [4]. From what is known from the collected reports, there was some evidence collected from instruments in orbit and on Mars’s ground that liquid water existed on its surface. In addition, detected evaporite minerals show at least ephemeral liquid water at Mars’s surface. However, the present thin atmosphere of mars cannot support the existence of liquid water on its surface. If Mars was more massive than it’s now, providing a thicker atmosphere, and experienced more greenhouse effects, it would have been more habitable and suitable than the Earth [6] .

VI. Conclusion

By identifying the past and potentially current environments in our solar system, detecting planets around other stars will be inevitable. In addition to understanding the origin of life, its evolution and diversification on Earth much more closely. Combined with the measurement of the host star's radial velocity, it can produce the planetary density that can be indicative of its development history. In the following years, the discovery of new transiting planets through land and space projects will increase understanding of these objects. Scientists are beginning to conduct comparative planetology and soon new insights will be provided into the genuine mass distribution of these objects. There is also a scope to improve chemical reaction rate prediction. It is humankind's nature to explore surroundings if it is possible. Spacecrafts were first sent to the planets forty years ago, and since then, the art of space exploration has become increasingly refined, and discoveries have multiplied. Theoretically, scientists now can reach and explore any object in the solar system. Mars is at the top of the list of exploration targets. Most hospitable, and most intriguing of the planets.

VII. References

Cancer Treatment: Treatment of Leukemia using HIV as a Viral Vector

Abstract In this article, we will examine a novel cancer treatment approach that involves the use of viral therapy. The main idea of the article is the use of HIV (which in normal circumstances targets T-cells) as a vector to transfer genetic information to a patient. HIV is the most common vector for the transfer of genetic information into a malignant cell, and it is also the most dangerous. These genetic components will assist the patient's T-cells in recognizing and damaging the malignant cells in his or her body. It may seem far-fetched to think about using a virus to treat cancer, yet it is a proven fact. When it comes to cancer treatment, HIV has proved its potential to deliver precise genetic information to the nucleus. This article will discuss the treatment's mechanism, the rationale for using HIV, specifically as a vector, and the CAR-T therapy, among other topics. Leukemia is the case of study of this article. Aside from that, it provides necessary foundation knowledge regarding HIV's behavior and binding mechanism as well as concerning viral vectors and CAR-T therapy.

I. Introduction

There were various types of leukemia therapy available many years ago. These therapies differ in their interaction with or targeting of cancerous cells. The kind of leukemia, the patient's age and health state, and whether or not the leukemia cells have moved to the cerebrospinal fluid will all influence treatment. Chemotherapy, for example, is the most common method of treatment for leukemia. Chemicals are used in this medication therapy to destroy leukemia cells. As well as being given orally through pills, chemotherapy can also be administered intravenously through a catheter or intravenous line. Another treatment used is biological therapies that assist the immune system in identifying and attacking aberrant cells. Antibodies, tumor vaccines, and cytokines are examples of biological treatments for cancer. However, instead of killing all quickly developing cells, targeted treatments are preferred to use. They interfere with a specific feature or function of a cancer cell. As a result, the targeted treatment causes less harm to normal cells than chemotherapy. Moreover, radiation treatment is another option for curing leukemia. It targets cancer cells with high-energy radiation. In addition to treating leukemia that has progressed to the brain, radiation therapy can also be used to treat leukemia that has collected in the spleen or other organs. There are other treatment approaches for leukemia, but these are the most important ones. Patients might get either one treatment or several medications depending on the kind and the severity of leukemia. In order to deal with leukemia, our research concerns on identifying leukemia and its types. Leukemia, cancer of the blood cells, affects myeloid and lymphoid in the bone marrow. Unlike other sorts of cancers that cause tumors with harmful effects in various parts of the body, leukemia cells travel freely in the bloodstream. Their harm, however, lies in their dysfunctionality. A huge amount of useless blood cells and platelets multiply constantly in the bone marrow, clogging it up and decreasing normal blood cells. The four main types of leukemia depend on which blood cell type they infect (myeloid & lymphoid), and the time of infection in the life-cycle of the blood cell (acute & chronic). Acute Myeloblastic Leukemia occurs in myeloblasts, marrow stem cells that specialize in RBCs, WBCs, and platelets. Acute Lymphoblastic Leukemia occurs in lymphoblasts, that specialize in T-cells, B-cells, and natural killer cells. The infected blasts lose their ability to mature and remain as useless oversized cells. Because of their size and number, they easily clog tissues upon infiltrating them, causing hepatomegaly, splenomegaly, pain in the bones, and others. A decrease in the number of normal cells, on the other hand, leads to anemia, frequent infections, hemorrhages, etc. Our approach is to use HIV as a based vector to treat cells. It might seem as madness to use a virus to treat cancer! It is really science madness. However, our findings have ensured that the there is a capability to use HIV as a treatment for leukemia.

II. HIV

HIV-1 and HIV-2 are members of the Retroviruses family, under the genus Lentiviruses. HIV (human immunodeficiency virus) is a virus that affects the immune system of the body. It is made up of two strands of RNA, 15 different types of viral proteins, and a few proteins from the previous host cell it infected, all encased in a lipid bilayer membrane. These chemicals, when combined, infect a kind of white blood cell in the body's immune system known as a T-helper cell (also called a CD4 cell). These important cells keep us healthy by defending us against infections and illnesses. From the earliest steps of viral attachment through the ultimate process of budding, each molecule in the virus plays a function in this process. HIV is incapable of reproducing on its own. Instead, the virus binds to and merges with a T-helper cell. It then takes over the cell's DNA, replicates itself within the cell, and eventually releases more HIV into the bloodstream. HIV is important in our study since it is the lentiviral vector that attaches to T-Cells and delivers the antileukemia transgene.

HIV structure

Figure 1
Figure 1 shows HIV structure.
HIV is made up of two fundamental components: a ribonucleic acid (RNA) core called the genome and a protein component called the capsid that covers the genome. The genome contains the virus's genetic information, whereas the capsid gives the viral shape and protects the genome. The HIV genome is made up of three main genes: group specific antigens (Ags) or capsid proteins (gag); polymerase gene proteins (pol), which include reverse transcriptase, protease, and integrase enzymes; and envelope glycoproteins (env) [2]. (As shown in figure 1). The capsid is made up of capsomeres, which are subunits. As of today, the HIV genome is made up of nine genes, which code for a total of fifteen virus-encoding proteins. Some essential structural proteins are encoded by the genes of all retroviruses, including HIV. A number of nonstructural ("accessory") HIV genes are also found. We've referred to them as Gag, or group specific antigen, viral enzymes (Pol, polymerase), and virion environment glycoproteins (Ve) when they're generated as viral polyproteins (envelope) [1] . This is the virus's general structure. It has a huge influence on its binding method and how it interacts with cells, which we will discuss in the next section.

Mechanism of HIV binding

Figure 2
Figure 2 shows Mechanism of HIV
Virions must bind to the target cell, which is done by the viral envelope (Env) protein or host cell membrane proteins integrated into the virion via any of a variety of different cell attachment factors. Attachment can be generic, with Env engaging with negatively charged cell-surface heparan sulphate proteoglycans, or more selective, with Env binding with 47 integrin or pattern recognition receptors such as dendritic cell–specific intercellular adhesion molecular 3-grabbing non-integrin (DC-SIGN) (as shown in figure 2). HIV attachment to the host cell by any of these parameters is expected to bring Env into close proximity with the viral receptor CD4 and coreceptor, boosting infection efficiency [3] . As result of HIV hides from the body's immune system in CD4 cells, it targets them via the mechanisms described above.

III. CAR-T Therapy & leukemia

Chimeric antigen receptors are specifically engineered to fit a certain antigen such that it enables the T-cells to latch onto the targeted antigen. Consequently, for a given disease, CAR's target antigen should behighly expressed in most cells/viruses that cause the disease while not having much correspondence to normal tissues, saving them from severe damage [4]. CAR T-cell therapy has been most commonly used in treating hematological cancers, especially in acute and chronic B-cell leukemia. The targeted antigen in B-cells is the CD19 molecule, a transmembrane protein that is the most expressed in all B-cells, making it a biomarker for them [2]. Recent treatment trials observed a 70–90% complete remission upon infusion of CD19 CAR T-cells, presenting the efficacy and feasibility of the therapy [5]. On the other hand, 10–20% of ALL patients have a CD19- relapse after treatment; this can be attributed to downregulation of the CD19 antigen and mutations that occur to the gene, leading the tumor to escape from the targeted detection [6]. Possible solutions are infusing a different CAR target; infusion by CD22 targeted CAR T-cells has recently shown positive results on relapsed CD19- patients.

Figure 3
Figure 3. shows the expression of receptors in Bcells.
Theoretically, applying the therapy on two tumor indicators could lengthen the duration of remission. Dual-signaling CAR-T and tandem CAR-T are two innovative techniques that have been developed. Dual signaling CAR-T cells are made up of two different CAR molecules with two different binding domains that target two different proteins of the same tumor. Tandem CAR-T cells, on the other hand, have one CAR molecule that expresses two different binding genes at the same time. CAR-T cells that target other B cell marker antigens, such as CD20 and CD22, are thus regarded to be good targets for dual or tandem CAR-T therapy for CD19- relapses and have shown positive effects [7] (as seen in figure.3). However, whether the therapy would cause an antigen loss simultaneously for both genes is still unclear. Going beyond B-cell leukemia/lymphoma (diffuse large B-cell lymphoma, primary mediastinal B-cell lymphoma, high grade B-cell lymphoma, transformed follicular lymphoma, and mantle cell lymphoma.), CAR-T therapy has also been implemented on multiple myeloma patients [8] and solid tumor solutions are being actively researched [9].
As CAR T-cell therapy has achieved remarkable efficacy in the treatment of hematological malignancies, researchers got inspired to expand the application of CAR-T-cell therapy to other medical conditions like infectious diseases, autoimmune diseases, senescence-associated pathologies, etc.

CAR T-cell therapy for HIV infections

According to UNAID: Acquired immunodeficiency syndrome (AIDS), a medical condition caused by the HIV virus, has caused about 36 million deaths since it was discovered in 1980 and has a death count of 680,000 in 2020 a reduction by 64% since the peak in 2004 and by 47% since 2010. 37.7 million People are currently living with AIDS. Antiretroviral therapy is the standard treatment for AIDS at the moment. The plasma HIV viral load could be significantly lowered or perhaps undetectable if properly applied. Despite success, new information suggests that cryptic viral replication still exists, immunological dysfunction is common during treatment, and HIV could resurface after years of undetectable viremia. Furthermore, antiretroviral therapy's side effects are considered to increase the chance of non-AIDS mortality. As a result, the current therapeutic techniques' efficacy is far from sufficient, and led to research of CAR Tcell therapy for HIV infections. Immunotherapeutic methods to treat HIV infection have been hindered by features peculiar to HIV infection, such as the high mutation rate of reverse transcriptase, which allows for the rapid generation of immune escape mutated variants and viremia recurrence. To destroy HIV-infected cells, first-generation antiHIV CAR methods used the CD4 receptor's extracellular region as the targeting domain, along with the CD3ζT cell signaling domain. Later research indicated that CD4-based CARs make gene-modified T cells vulnerable to HIV infection [9]. Several ways to improve HIV-specific CAR-T cells have been tested to address this constraint, including the construction of tandem CAR-T cells, or CAR-T cells expressing a CD4 CAR in combination with either a gp41-derived fusion inhibitor or CCR5 ablation. AntiHIV CARs have also been reengineered with 4- 1BB or CD28 stimulatory signaling patterns to improve their in-body persistence and potency when used in combination with soluble broadly neutralizing antibodies (bNAbs) that identify nonredundant gp120/gp41 antigen epitopes [10].

IV. Viral vectors

Figure 4
Figure 4 shows the virus introducing its gene to the host cell.
Viral vectors are tools are designed to deliver therapeutic genes into the cell. Viruses are used in this process to transport nucleic acid into the genetic makeup of the cell. Viruses naturally evolved vehicles that transfer their gene to the host cell. This ability makes the viruses best suited for this process. The ligand, which is a molecule of the virus has the capability to bind to proteins. Concerning the virus, the ligand is a protein in the outer coat of the virus that binds with the receptor protein of the cell. Each cell type has a different receptor protein. Therefore, specific viruses can be used to deliver the desired gene to the target cell type. Once the ligand of the virus attaches to the receptor protein, the virus introduces its gene DNA or RNA to the host cell (as shown in figure 4).

Types of viral vectors and their mechanism

Figure 5
Figure 5 represents adenoviral infection.
Specific viruses are used to transfer genetic materials to specific cell types These include adenoviruses, retroviruses, poxviruses, adenoassociated viruses, baculoviruses, and herpes simplex viruses. Now, we will explain some of these viral vectors. First, the adenoviruses species are the most effective for creating a viral vector for the use of gene therapy. The globular knob domain of the viral capsid has a high affinity for adenovirus receptors (CAR). The CAR is found on a variety of cells throughout the human body. The virus-host cell that affinity between the fibrous knob and the CAR is heightened by the interaction of the penton base protein with secondary cellular receptors. Then, the virus introduces through the cell membrane via receptor receptor-mediated endocytosis. After that, the genome inserts the protein capsid and makes its way into the host cell nucleus (as shown in figure 5).

HIV as a viral vector

Figure 6
Figure 6 shows the HIV infects monocytes by interacting with the CCR5 co-receptor
The vector used in the treatment discussed in this paper is Human Immunodeficiency Virus (HIV). HIV in normal attacks the immune system especially the T-cells (a type of white blood cell that is responsible for killing foreign bodies such as viruses, bacteria, and cancer cells). HIV infects T cells via high-affinity interaction between the virion envelope glycoprotein (gp120) and the CD4 molecule. The infection of T cells is assisted by the T-cell co-receptor called CXCR4 while HIV infects monocytes by interacting with the CCR5 coreceptor (as shown in figure 6). The mechanism of using HIV as a vector is inserting the gene material we want to transfer to the t-cell. The RNA is removed to make the virus safe for the patient.

V. The mechanism of the treatment

In this section, we explain why HIV is used in this process. In addition, we elaborate on the process of using HIV as leukemia treatment

i. Why HIV

First, the normality of HIV that targets the T-cells. HIV directly infects T cells via high-affinity interaction between the virion envelope glycoprotein (gp120) and the CD4 molecule. The infection of T cells is assisted by the T-cell coreceptor called CXCR4 while HIV infects monocytes by interacting with the CCR5 coreceptor. Later than, the HIV gene transfers to the nucleus of the T-cell. Therefore, using HIV will be efficient to transfer the genetic material to the T-cell. Second, HIV is better suited to use as a vector. This is because Lentivirus-based vectors can infect nondividing and slowly dividing cells.

ii. Genetic Materials

First, a sample is taken from the patient immune cells. Then, the gene for a special receptor that binds to a specific protein on the patient’s cancer cells is added to the T-cell of the patient. This receptor is called CAR T-cells. CAR T-cells are not normally found in the immune system. The protein finds in the body of foreign bodies helps the immune system to recognize these bodies. Each protein has a particular receptor that can bind to it. These proteins are called antigens. In other words, we can describe the relationship between antigens and immune receptors is like a lock and key. Just as a lock can only be opened with the right key, each foreign antigen has a unique immune receptor that binds to it. Since different cancers have different antigens, each CAR is made for specific cancer's antigen. For instance, in certain kinds of leukemia, the cancer cells have an antigen called CD19. The CAR T-cell therapies in order to treat these cancers are made to attach to the CD19 antigen and will not work for cancer that does not have the CD19 antigen.

iii. Making the CAR T cells

After the white cells are removed, the T cells are separated and altered by adding the gene for the specific chimeric antigen receptor (CAR). This makes them CAR -T. Then, these cells are grown and multiplied in the lab. It can take several weeks to make the large number of CAR-T needed for this therapy.

iv. Preparing HIV and Infection

HIV is in simplest terms a vector. By taking out all the viral RNA inside, HIV becomes harmless. HIV is then exposed to CAR-T cell and injects back to the patient. HIV start to target both the cancerous and not cancerous B-cells (lymphocytes that are responsible for making antigens in the body). Once the CAR -T bind with B cells, they start to increase in number and can help destroy even more cancer cells. T Cells then multiply and create a memory in the body to kill any future cancerous B-cells, preventing any type of leukemic cancer to form.

VI. Conclusion

Viruses have positive aspects as they have negative aspects. We can use viruses in the treatment of deadly diseases such as Leukemia cancer (a type of white blood cells cancer). By new technologies such as viral thereby, we can use these viruses to introduce specific genetic materials to the human body. The viruses play the role of transportation HIV in normal target the T-cells (type of white blood cells). Therefore, HIV can be used to transfer the genetic material that the T-cells need to fight against the cancerous cells in the immune system. In our case of study, we are working on leukemia disease. In this case, the T-cells themselves are cancerous. To treat this type of cancer we need certain receptor that make the T-cell able to recognize the cancer cell by binding to it. This receptor called CAR-T. First, the T-cells are taken from the patient. Then, the CAR-T receptor is added to the T-cells in the laboratory. Finally, the modified T-cells exposed to HIV. After that the HIV is introduced to the patient. The modified T-cells become able to recognize the cancerous cell and fight them. In addition, T -Cells then multiply and create a memory in the body to kill any future cancerous B-cells, preventing any type of leukemic cancer to form. There are future fields of research and development that we recommend to be done. To begin, since the precise sequence of genetic material is not unknown, attempts must be made to ascertain it. Additionally, CAR-T treatment requires further development before it can be used on human cells. Moreover, because the method of HIV insertion is somehow vague, experiments on mice must be conducted prior to human use. Also, we recommend using other viral vectors like adenoviruses and herpes simplex virus to be used in other therapies. Overall, viral vectors appear to be the key to curing many diseases. Viral vectors will be used in several therapeutics in the next years.

VII. References

Contact Us

Reach to us about ideas, suggestion or any questions you have!

Website Managers: Mikhael Mounay | Mohanad Elagan

© 2020-2024 All Rights reserved | Youth Science Journal